Matematik 2 Final 14. Deneme Sınavı
Toplam 20 Soru1.Soru
x-4?3 (mod5) denkliğinin çözüm kümesi aşağıdakilerden hangisidir?
|
{..., -13,-8,-3,2,7,12 ,...}
|
|
{ 2 ,7,12...}
|
|
{..-6,-4,-2,0, 2 ,4,6...}
|
|
{..0, 2 ,4,6...}
|
|
{2,7}
|
2.Soru
Türkiye’nin nüfusu, adrese dayalı nüfus kayıt sistemine göre 2016 yılında 79814871 kişi olarak belirlenmiştir. Yıllık nüfus artış oranı %1,35 olduğuna göre 2023 yılında toplam nüfus ne kadar olur? (2023 yılındaki toplam nüfus N ile gösterilsin)
|
|
|
|
|
|
|
|
|
|
Nüfus değişimini veren diferansiyel denklem dy/dt=Ky şeklinde ifade edilmişti. 2016 yılı başlangıç olarak alınırsa t=0 anında nüfus y(0)=79814871, değişim oranı K=0,0135 olup 2023 yılındaki nüfus başka bir deyişle başlangıçtan 7 yıl sonraki nüfus
başlangıç değer probleminin çözülmesiyle bulunur. Bu diferansiyel denklemin çözümünün, adına Malthus modeli denilen
biçiminde bir üstel fonksiyon olduğu bulunmuştu. Buna göre başlangıç nüfusu ve artış oranının bu üstel fonksiyonda yerine yazılmasıyla 2016 yılından t yıl sonraki ülke nüfusu
olur. Buna göre 2023 yılında yaklaşık nüfus,
şeklinde elde edilir.
3.Soru
32 sayısının 8. kuvvetinin 13 ile bölümünden kalan kaçtır?
|
3
|
|
5
|
|
2
|
|
4
|
|
7
|
4.Soru
5 köşe noktası olan farklı kaç tane ağaç vardır?
|
25 |
|
125 |
|
150 |
|
250 |
|
625 |
n köşe noktası olan farklı ağaçların sayısı
olur. Bu durumda n yerine 5 yazarsak ağaç sayısını 5³=125 olarak buluruz.
5.Soru
2, 11, 46, 57, 97, 111, 231 sayılarından kaç tanesi asal sayı değildir?
|
6
|
|
5
|
|
4
|
|
3
|
|
2
|
6.Soru
Aşağıda matrisi verilen oyunun aşağı değeri kaçtır?
|
1 |
|
-1 |
|
2 |
|
-2 |
|
3 |
I. oyuncu birinci satırı seçtiğinde
sayılarının en küçüğü olan -1, ikinci satırı seçtiğinde
sayılarının en küçüğü olan -2, üçüncü satırı seçtiğinde
sayılarının en küçüğü olan -4 ve dördüncü satırı seçtiğinde
sayılarının en küçüğü olan -3 kazançlarını garanti eder. I. oyuncu maksimizasyon yaptığı için birinci satırı seçer. Birinci satırı seçtiğinde garantilenmiş olan kazanç -1’dir. Doğru cevap B’dir.
7.Soru
Deşifre fonksiyonu d(y)= 19(y-6) (mod 17) ile y= 15 sayısının deşifresi aşağıdakilerden hangisidir?
|
7
|
|
4
|
|
5
|
|
1
|
|
3
|
8.Soru
Savunma stratejisi nedir?
|
I. oyuncunun maksimin, II. oyuncunun maksimin stratejilerine onların savunma stratejileri denir.
|
|
I. oyuncunun maksimin, II. oyuncunun minimaks stratejilerine onların savunma stratejileri denir.
|
|
I. oyuncunun minimaks , II. oyuncunun minimaks stratejilerine onların savunma stratejileri denir.
|
|
I. oyuncunun minimaks , II. oyuncunun maksiminstratejilerine onların savunma stratejileri denir
|
|
I. oyuncunun maksimin stratejilerine onların savunma stratejileri denir.
|
9.Soru
Beyaz altıgenlerden ve siyah beşgenlerden oluşan futbol toplarının ayrıt sayısı kaçtır?
|
60
|
|
70
|
|
80
|
|
90
|
|
100
|
10.Soru
Aşağıdaki çizgenin hangi köşe noktasının derecesi en büyüktür?
|
1,1,2,2,2 |
|
2,2,1,1,1 |
|
2,2,4,4,4 |
|
3,3,2,2,2 |
|
2,2,2,2,2 |
Bir çizgenin tüm köşe noktalarının dereceleri toplamı çift sayıdır. Buna göre bir çizgenin köşe noktalarının dereceleri 2,2,1,1,1 olamaz. Çünkü bu derecelerin toplamı 5 olup bu bir tek sayıdır.
11.Soru
48 birler basamağındaki rakam kaçtır?
|
6 |
|
7 |
|
8 |
|
9 |
|
10 |
olur.
12.Soru
Bir çizgedeki tüm köşe noktalarının dereceleri toplamı 10 ise, çizgedeki kenar sayısı kaçtır?
|
5
|
|
4
|
|
10
|
|
20
|
|
8
|
13.Soru
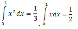
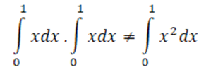
f ve g, [a,b] aralığında sürekli fonksiyonlar,
bir reel sayı ve a<c<b olmak üzere, aşağıdakilerden hangisi yanlıştır?
|
|
|
|
|
|
|
|
|
|
İntegrant iki fonksiyonun çarpımı biçimindeyse bunların integrali çarpıma giren fonksiyonların integrallerinin çarpımına eşit olmak zorunda değildir. Örneğin;
olup
olur.
14.Soru
Matris oyunları nedir?
|
Tek kişi ile oynanan sıfır toplamlı sonlu oyunların diğer adıdır.
|
|
Tek kişi ile oynanan sıfır toplamlı olmayan sonlu oyunların diğer adıdır.
|
|
İki kişilik sıfır toplamlı sonlu oyunların diğer adıdır.
|
|
Birden fazla kişi ile oynanan sıfır toplamlı sonlu oyunların diğer adıdır.
|
|
Birden fazla kişi ile oynanan sıfır toplamlı olmayan sonlu oyunların diğer adıdır.
|
15.Soru
Aşağıda ifade edilen matris oyununun aşağı değeri nedir?
|
1 |
|
-1 |
|
-2 |
|
-4 |
|
-7 |
Oyuncunun her satırdaki değerleri inceleyip her satırdaki en küçük değeri seçerek sayıların aşağı değerini garanti etmiş olur. Her satırın en küçük değerleri sırasıyla 1, -2 ve -7’dir. Oyuncu maksimizasyon yaptığı için, 1. satırı seçmek oyuncu için karlı olacaktır. Bunu seçtiğinde garantilemiş olduğu getiri en büyük olur. Bu yüzden, en büyük olan 1 sayısı aşağı değerdir.
16.Soru
Sıfır toplamlı sonlu oyunda denge varsa aşağıdakilerden hangisi doğru değildir?
|
Matriste öyle bir eleman vardır ki bu eleman bulunduğu satırda en küçük bulunduğu sütunda ise en büyüktür.
|
|
I. oyuncunun aşağı değeri II. oyuncunun yukarı değerinden fazladır
|
|
Oyunun aşağı değeri yukarı değerine eşittir.
|
|
Maksimin-minimaks stratejileri denge ikilisidir.
|
|
Bulunduğu satırda en küçük bulunduğu sütunda en büyük olan elemanın bulunduğu satır ve sütun numaraları denge ikilisi olur.
|
17.Soru
Aşağıda verilen çizgedeki köşelerden kaç tanesi b noktasının bir komşusu değildir?
|
1 |
|
2 |
|
3 |
|
4 |
|
5 |
Verilen çizgede b noktasını a ve f köşeleriyle birleştiren kenarlar mevcuttur, fakat c, d ve e köşeleriyle birleştiren kenarlar mevcut değildir. Doğru cevap 3'tür.
19.Soru
Her düzlemsel çizgenin köşe noktaları komşu noktalar farklı renklerde olacak şekilde kaç renk ile boyanır ?
|
2
|
|
3
|
|
4
|
|
5
|
|
çizgeye bağlıdır.
|
20.Soru
y=f(x) fonksiyonun grafiği aşağıda verilmiştir. Buna göre
integralinin sonucu aşağıdakilerden hangisidir?
|
-3/2 |
|
15/2 |
|
-9/2 |
|
3 |
|
3/2 |
-
- 1.SORU ÇÖZÜLMEDİ
- 2.SORU ÇÖZÜLMEDİ
- 3.SORU ÇÖZÜLMEDİ
- 4.SORU ÇÖZÜLMEDİ
- 5.SORU ÇÖZÜLMEDİ
- 6.SORU ÇÖZÜLMEDİ
- 7.SORU ÇÖZÜLMEDİ
- 8.SORU ÇÖZÜLMEDİ
- 9.SORU ÇÖZÜLMEDİ
- 10.SORU ÇÖZÜLMEDİ
- 11.SORU ÇÖZÜLMEDİ
- 12.SORU ÇÖZÜLMEDİ
- 13.SORU ÇÖZÜLMEDİ
- 14.SORU ÇÖZÜLMEDİ
- 15.SORU ÇÖZÜLMEDİ
- 16.SORU ÇÖZÜLMEDİ
- 17.SORU ÇÖZÜLMEDİ
- 18.SORU ÇÖZÜLMEDİ
- 19.SORU ÇÖZÜLMEDİ
- 20.SORU ÇÖZÜLMEDİ