aof.sorular.net
Matematiksel İktisat
Matematiksel İktisat Deneme Sınavı
Matematiksel İktisat Deneme Sınavı Sorusu #678136
Matematiksel İktisat Deneme Sınavı Sorusu #678136
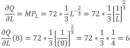
Üretim fonksiyonu olduğuna göre, L=8 için emeğin marjinal fiziki ürünü (MPL) kaçtır?
|
2 |
|
3 |
|
6 |
|
12 |
|
18 |
Yanıt Açıklaması:
Yorumlar
- 0 Yorum