aof.sorular.net
Matematiksel İktisat
Matematiksel İktisat Deneme Sınavı
Matematiksel İktisat Deneme Sınavı Sorusu #1090205
Matematiksel İktisat Deneme Sınavı Sorusu #1090205
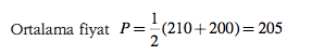
Bir talep fonksiyonunda fiyatın 210’dan 200’e düşmesi durumuda yay esnekliğinin değerini hesaplayınız.
|
2 |
|
3,4 |
|
210 |
|
5 |
|
0,26 |
Yanıt Açıklaması:
P1=210 ve P2=200 verilmiş. Bu fiyat düzeylerinde talep edilen miktarlar:
1000 - 2Q1 = 210
-2Q1 = -790 Q1 = 395
Benzer biçimde fiyatın 210 olması durumunda da Q2 = 400 bulunur.
?P=200-210=-10 ?Q=400-395=5
Doğru cevap E'dir.
Yorumlar
- 0 Yorum