aof.sorular.net
Matematiksel İktisat
Matematiksel İktisat Deneme Sınavı
Matematiksel İktisat Deneme Sınavı Sorusu #924045
Matematiksel İktisat Deneme Sınavı Sorusu #924045
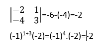
matrisinin 1. satır ve 3. sütununda yer alan c13 (kofaktör) elemanının değeri aşağıdakilerden hangisidir?
|
-2 |
|
-1 |
|
0 |
|
1 |
|
2 |
Yanıt Açıklaması:
1.satır ve 3. sütun çıkarılıp kalan matrisin determinantı hesaplanır. Çıkan sonuç (-1)i+j ile çarpılır.
Yorumlar
- 0 Yorum