Matematiksel İktisat Final 26. Deneme Sınavı
Toplam 20 Soru1.Soru
Fayda fonksiyonu U = 500x1 + 250x2 + 5x1x2 olan bir tüketici için x2 ürünü tüketiminde meydana gelecek 1 birimlik artışın faydaya olan etkisi kaçtır?
|
250 + 5x2
|
|
500 + 5x1
|
|
250 + 5x1
|
|
750 + 5x1x2
|
|
5x1x2
|
2.Soru
yukarıda iki malın denge fiyatları olan P1 ve P2 'ye ait eşitliklerin matrislerle Ax=B şeklindeki gösterimi verilmiştir. Buna göre, denklem sisteminin çözümünde elde edilecek P1 fiyatı nedir?
|
1/2 |
|
1 |
|
2 |
|
2/5 |
|
3 |
Denklem sistemi olarak yazıldığında;
3P1+P2=2
5P1-3P2=1
denklemi P2 yok edilerek çözüldüğünde P1=1/2 olarak hesaplanır.
3.Soru
iki değişkenli fonksiyonunun (2,3) ikilisi için görüntüsü aşağıdakilerden hangisidir?
|
28 |
|
30 |
|
32 |
|
34 |
|
36 |
fonksiyonunda x yerine 2 ve y yerine 3 yazarız. Buna göre f(2,3) = 3(2)(3) + 4(3) = 30 olur. Doğru cevap B'dir.
4.Soru
C(Yd)=5400+0,24Yd şeklindeki tüketim fonksiyonunda gelirin 2000 olması durumunda tüketim aşağıdakilerden hangisi olur?
|
4800 |
|
5400 |
|
5880 |
|
6240 |
|
6500 |
C(Yd)=5400+0,24Yd
C(2000)= 5400+0.24.2000
=5400+480
=5880
5.Soru
İkinci mertebeden kısmi türevlerden elde edilen matrise ne ad verilir?
|
Pozitif belirli matris |
|
Katsayılar matrisi |
|
Kare matris |
|
Hessian matrisi |
|
Negatif belirli matris |
Hessian matrisi ikinci mertebeden kısmi türevlerden elde edilen matristir.
6.Soru
matrisinin 1. satır ve 3. sütununda yer alan c13 (kofaktör) elemanının değeri aşağıdakilerden hangisidir?
|
-2 |
|
-1 |
|
0 |
|
1 |
|
2 |
1.satır ve 3. sütun çıkarılıp kalan matrisin determinantı hesaplanır. Çıkan sonuç (-1)i+j ile çarpılır.
7.Soru
Bir malın ortalama maliyet fonksiyonu AC=4Q+8+40/Q şeklinde verilmiştir. Q=10 olması durumunda marjinal maliyet (MC) aşağıdakilerden hangisi olur?
|
124 |
|
136 |
|
88 |
|
72 |
|
54 |
TC=ACxQ
TC=4Q2+8Q+40
MC=dTC/dQ
MC=8Q+8 olur Q=10 için MC=8(10)+8=88
8.Soru
I. Optimizasyon eldeki mevcut kaynakları en iyi şekilde kullanmak ve amaçlanan sonuca ulaşmaktır.
II. Optimizasyon, kısıtlı ve kısıtsız olmak üzere iki biçimde elde edilir.
III. Fonksiyonun ikinci türevini sıfır yapan nokta ya da noktalar optimal değerler olarak ifade edilir.
Optimizasyon ile ilgili verilenlerden hangisi ya da hangileri doğrudur?
|
Yalnız I |
|
Yalnız II |
|
I ve II |
|
I ve III |
|
II ve III |
I. Optimizasyon eldeki mevcut kaynakları en iyi şekilde kullanmak ve amaçlanan sonuca ulaşmaktır. (Doğru)
II. Optimizasyon, kısıtlı ve kısıtsız olmak üzere iki biçimde elde edilir. (Doğru)
III. Fonksiyonun ikinci türevini sıfır yapan nokta ya da noktalar optimal değerler olarak ifade edilir. (Yanlış, fonksiyonun birinci türevini sıfır yapan nokta ya da noktalar optimal değerler olarak ifade edilir. )
Cevap C şıkkıdır.
9.Soru
fonksiyonunun marjinal fonksiyonu aşağıdakilerden hangisidir?
|
|
|
|
|
f(x)=0 |
|
f(x)=1 |
|
|
Türevin iktisattaki en önemli kullanım alanlarından biri marjinal fonksiyonlardır. Bir fonksiyonun türevi alınarak elde edilen fonksiyon, “marjinal fonksiyon” olarak adlandırılır. Soruda verilen fonksiyonun türevi B şıkkında verilmiştir. Doğru cevap B'dir.
10.Soru
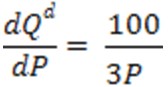
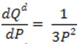
Qd = 1000 - P3. Bu fonksiyonda miktar ton cinsinden ve de fiyatlar T cinsinden olduğu varsayılmıştır. Buna göre hesaplanan birinci türev aşağıdakilerden hangisidir?
|
|
|
|
|
|
|
|
|
|
Qd = 1000 - P3. Bu fonksiyonda miktar ton cinsinden ve de fiyatlar T cinsinden olsun. Birinci türevi hesaplarsak, bulunur.
11.Soru
Esnek bir mal için, fiyat ve toplam harcama arasındaki ilişkilerden hangisi doğrudur?
|
Fiyat düşüşü toplam harcamalarda etki yaratmaz
|
|
Fiyat düşüşü toplam harcamaları düşürür
|
|
Fiyat düşüşü toplam harcamaları arttırır
|
|
Fiyata artışı toplam harcamaları arttırır
|
|
Fiyat artışı toplam harcamalarda etki yaratmaz
|
12.Soru
Amaç fonksiyonu f(x,y) = 2xy ve kısıt fonksiyonu g(x,y) = 3x + 2y = 18 ise amaç fonksiyonunu optimize eden çözümü ikilisi aşağıdakilerden hangisidir?
|
(3, 9) |
|
(18, -18) |
|
(-18, 18) |
|
(3, 9/2) |
|
(3, 3) |
Bu soruyu yerine koyma metoduyla çözecek olursak kısıt fonksiyonunda ‘y’ elemanını yalnız bırakarak 2y=18 – 3x sadeleştirdiğimizde buradan y = (9 – 3/2x) denklemini buluruz. Amaç fonksiyonunda yerine yazarsak 2*x*(9 – 3/2x)= 18x – 3x2 denklemini buluruz. Bu denklemi optimize etmek için türevini alıp sıfıra eşitlemeliyiz. 18x – 3x2 türevi 18 – 6x’dir. 18 – 6x = 0 buradan x=3 buluruz. y = (9 – 3/2x) denkleminde yerine yazarsak y=9/2 sonucunu buluruz.
13.Soru
olarak verilen bir üretim fonksiyonunda K=5, L=20 ise marjinal teknik ikame oranı (MRTS) kaçtır?
|
-1 |
|
0 |
|
-0,0625 |
|
-0,096 |
|
1 |
MRTS;
olarak bulunur.
14.Soru
Aşağıda verilenlerden hangisi doğrudur?
|
Bir fonksiyon için ikinci türevi negatif yapan değer fonksiyonunu maksimum yapan değerdir. |
|
Bir fonksiyon için ikinci türevi pozitif yapan değer fonksiyonunu maksimum yapan değerdir. |
|
Bir fonksiyon için ikinci türevi negatif yapan değer fonksiyonunu minimum yapan değerdir. |
|
Kritik nokta, bir fonksiyonun ikinci türevini sıfır yapan değer olarak tanımlanır. |
|
Kritik nokta, bir fonksiyonun birinci türevini bir yapan değer olarak tanımlanır. |
Bir fonksiyon için ikinci türevi negatif yapan değer fonksiyonunu maksimum yapan değerdir. Bir fonksiyon için ikinci türevi pozitif yapan değer fonksiyonunu minimum yapan değerdir. Kritik nokta, bir fonksiyonun birinci türevini sıfır yapan değer olarak tanımlanır.
15.Soru
Bir firma ürettiği bir mal için 3600 birimlik sipariş almıştır. Firmanın üretim fonksiyonu Q(K,L)=4K1/2L1/2 şeklinde verilmiştir. Firma emek (L) için birim başına 1₺ ve sermaye (K) için birim başına 4₺ ödemektedir. Firmanın siparişi en ucuz maliyetle gerçekleştirmesi için sermaye (K) faktöründen kaç birim kullanmalıdır?
|
120 |
|
200 |
|
450 |
|
1000 |
|
1230 |
L(K,L,λ)=4K+L+λ(3600-4K1/2L1/2 )
LK≡∂L/∂K=4-2λK-1/2=0
LL≡∂L/∂L=1-2λL-1/2=0
Lλ≡∂L/∂λ=3600-4K1/2L1/2=0
4=2λK-1/2⇒λ=K1/2/2
1=2λL-1/2⇒λ=L1/2/4
K1/2/2=L1/2/4⇒2K1/2=L1/2⇒L=4K
Bulunan L ifadesini ’da yerine koyarsak;
3600=4K1/2(4K)1/2⇒8K=3600⇒K=450
16.Soru
Aşağıda e tabanlı üstel fonksiyon ile ilgili verilenlerden hangisi doğrudur?
|
e0 = e |
|
e0 = 1 |
|
e1 = 1 |
|
ex grafiği konkavdır. |
|
ex < 0 |
e tabanlı üstel fonksiyonların özeliklerini incelediğimizde e0 = 1 ve e1=e olduğunu görürüz. Aynı zamanda tüm x değerleri için ex sıfırdan büyüktür yani pozitiftir ve ex grafiği konvekstir.
17.Soru
P fiyatı, Q miktarı göstermek üzere bir malın talep fonksiyonu P = 120 – 3Q olarak veriliyor. Buna göre firmanın marjinal hasıla fonksiyonu aşağıdakilerden hangisidir?
|
MR= 120 – 3Q2 |
|
MR= 120 – 6Q |
|
MR= 120 – 12Q |
|
MR= 3Q2 |
|
MR= 6Q |
Bir firmanın marjinal hasıla fonksiyonunu hesaplamak için önce hasıla fonksiyonunu bulmamız gerekir. Hâsıla fonksiyonu ise fiyat ile miktarı çarparak bulunur. Yani P.Q = 120Q – 3Q2’ye eşittir. Marjinal hâsıla fonksiyonu ise hâsıla fonksiyonunun türevini alınarak bulunur. Buna göre hasıla fonksiyonunun türevini aldığımızda MR = 120 – 6Q olarak marjinal hasıla fonksiyonunu buluruz. Dolayısıyla Doğru Cevap B seçeneği olur.
18.Soru
Üç çeşit mal üreten bir firmanın kâr fonksiyonunun ikinci mertebeden kısmi türevlerinden elde edilen Hessian matrisi;olarak verilmiştir. Buna göre bu firmanın birinci mertebeden kısmi türevlerini sıfır yapan (Q1,Q2,Q3) üretim düzeyleriyle ilgili aşağıdaki ifadelerden hangisi doğrudur?
|
Bu üretim düzeylerinde ne kâr ne zarar durumu söz konusudur. |
|
Bu üretim düzeylerinde zarar durumu söz konusudur. |
|
Bu üretim düzeylerinde kâr durumu söz konusudur. |
|
Bu üretim düzeyleri firmanın kapanma noktasıdır. |
|
Bu üretim düzeyleri için herhangi bir şey söylenemez. |
Asal minörlerin işaretlerine bakılır.olduğundan Hessian matrisi negatif belirlidir. Bu durumda (Q1,Q2,Q3) değerlerinin kâr fonksiyonunu maksimum kılan değerler olduğu söylenir. Yani bu düzeylerde kâr durumu söz konusudur.
19.Soru
Bir malın talep fonksiyonu P+Q=30 şeklindedir. Toplam maliyet fonksiyonu ise TC=1/2Q2+6Q+7 olarak belirlenmiştir. Buna göre karı maksimum yapan çıktı miktarı aşağıdakilerden hangisidir?
|
6
|
|
8
|
|
10
|
|
12
|
|
14
|
20.Soru
Marjinal tüketim eğiliminin 0,7 ve ekonomideki toplam gelirin 4000 olduğu durumda devlet harcamalardan %15 oranında vergi almaya karar vermiştir. Bu durumda tüketim miktarı aşağıdaki seçeneklerden hangisinde doğru biçimde verilmiştir?
|
1380
|
|
2380
|
|
2580
|
|
2780
|
|
2900
|
-
- 1.SORU ÇÖZÜLMEDİ
- 2.SORU ÇÖZÜLMEDİ
- 3.SORU ÇÖZÜLMEDİ
- 4.SORU ÇÖZÜLMEDİ
- 5.SORU ÇÖZÜLMEDİ
- 6.SORU ÇÖZÜLMEDİ
- 7.SORU ÇÖZÜLMEDİ
- 8.SORU ÇÖZÜLMEDİ
- 9.SORU ÇÖZÜLMEDİ
- 10.SORU ÇÖZÜLMEDİ
- 11.SORU ÇÖZÜLMEDİ
- 12.SORU ÇÖZÜLMEDİ
- 13.SORU ÇÖZÜLMEDİ
- 14.SORU ÇÖZÜLMEDİ
- 15.SORU ÇÖZÜLMEDİ
- 16.SORU ÇÖZÜLMEDİ
- 17.SORU ÇÖZÜLMEDİ
- 18.SORU ÇÖZÜLMEDİ
- 19.SORU ÇÖZÜLMEDİ
- 20.SORU ÇÖZÜLMEDİ