aof.sorular.net
Mathematics 1
Mathematics 1 Deneme Sınavı
Mathematics 1 Deneme Sınavı Sorusu #1209134
Mathematics 1 Deneme Sınavı Sorusu #1209134
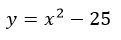
Which of the following quadratic function has its vertex at (0, -25)?
|
|
|
|
|
|
|
|
|
|
Yanıt Açıklaması:
The vertex of is, (0, -25) because -b/2a=0/2 and y=0^2-25=-25. The answer is B.
Yorumlar
- 0 Yorum