Mathematics 1 Ara 11. Deneme Sınavı
Toplam 18 Soru1.Soru
642/3=?
|
2 |
|
4 |
|
8 |
|
16 |
|
32 |
64=26 so 642/3=(26)2/3=26*2/3=24=16
2.Soru
f : R › R, f(x) = x3 + 2. f –1(1) = ?
|
31/3 |
|
1 / 3 |
|
3 |
|
0 |
|
-1 |
x = (y – 2)1/3 = -1 . Correct answer is E.
3.Soru
Functions, which are represented by different formulas on different subsets of its domain are called … functions.
|
constant |
|
identity |
|
piecewise defined |
|
surjective |
|
bijective |
Functions, which are represented by different formulas on different subsets of its domain are called piecewise defined functions, so the correct answer is C. Definitions for the other concepts regarding to functions in the other options are as follows:
Constant function and identity function are the concepts related to types of functions. A function assigning each element from its domain a single element in its range is called a constant function.
Given A ? , a function defined on the set A and assigning every element of A to itself is called the identity function.
Given a function if the image is equal to the range, i.e. f (A)=B the function f is called surjective (onto).
If a function which is both one-to-one and onto is called a bijection.
4.Soru
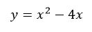
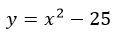
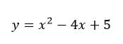
Which of the following quadratic function has its vertex at (0, -25)?
|
|
|
|
|
|
|
|
|
|
The vertex of is, (0, -25) because -b/2a=0/2 and y=0^2-25=-25. The answer is B.
5.Soru
What is the solution set of the inequality x2 – 3 x + 2 > 0 ?
|
[1, 2] |
|
(1, 2) |
|
(∞, 1) |
|
(2, ∞) |
|
R \ [1, 2] |
(x – 2) ( x – 1) > 0 ; (x > 2 or x < 1) = R \ [1, 2] . pg. 63. Correct answer is E.
6.Soru
Which of the following is not a polynomial?
|
f(x)=3x-1 |
|
f(x)=5-4x2 |
|
f(x)=2-√3x2 |
|
f(x)=2x1.5+1 |
|
f(x)=0.5x3+1 |
The exponents in a polynomial function must be natural numbers. However 1.5 is not a natural number. Therefore the function f(x)=2x1.5+1 is not a polynomial.
7.Soru
Which of the following is the intersection of intervals [-3, 5) and [-2, 0)?
|
[-2, 0] |
|
[-2, 0) |
|
[-5, 0) |
|
[-2, 1) |
|
(-2, 0) |
The interval consisting of the elements of both [-3, 5) and [-2, 0) is [-2, 0). The answer is B.
8.Soru
- A ? B = {2, 3}
- A ? B = {1, 2, 2, 3, 3, 5, 8, 10, 11}
- A \ B = {1, 5, 8}
- B \ A = {10, 11}
If A = {1, 2, 3, 5, 8} and B = {2, 3, 10, 11}, then which of the above are correct?
|
I and II |
|
II and IV |
|
I, II and IV |
|
I, III and IV |
|
II, III and IV |
Operations on sets are somewhat similar to operations of addition, multiplication and subtraction of numbers.
Let A and B be two sets.
The set of elements that are in either A or B or both is called the union of the sets A and B and is denoted by A ? B, i.e.,
A ? B = {x| x ? A or x ? B}
The set of all elements of the sets A and B is called the union of the sets A and B and is denoted by
A ? B.
Union is the act of combining two sets together into a single set.
Example
A = {1, 3, 5, 8}, B = {1, 3, 7}. Then A ? B = {1, 3, 5, 7, 8}.
If an element appears in both sets then we only list it once in the new set.
Example
A = {x| x is a city in Turkey with population greater than 1 million}, B = {x| x is a city in Turkey with population less than 500 000}. Then A ? B ={x| x is a city in Turkey with population greater than 1 million or less than 500 000}. The set of elements A which are not in B is called the difference between A and B and is denoted by A \ B.
A \ B = {x| x ? A and x ? B}
Example
A = {3, 5, 8, 10}, B = {4, 5, 9}. Then A \ B = {3, 8, 10}.
Example
A = {0, 1, 2, 3, 4, …}, B = {1, 3, 5, 7, …}. Then A \ B = {0, 2, 4, 6, ...}.
Usually the sets that we deal with are subsets of some ambient set. Such a set is called a universal set and is denoted by U. In other words, U is the universal set if all the sets under examination are subsets of U. The difference U \ A is called the complement of A and is denoted by Ac . That is,
Ac = U \ A = {x| x ? U and x ? A}
Example
U = {1, 2, …, 10}, A = {9, 10}. Then U \ A = {1, 2, …, 8}.
The intersection of two sets A and B, written A ? B is the set consisting of the elements of both A and B. Thus, A ? B = {x| x ? A and x ? B}
Example A = {1, 2, 3, 5, 8}, B = {2, 3, 10, 11}. Then
A ? B = {2, 3}. x ? A ? B if and only if x ? A and x ? B.
Example
A = {x| x is a city in Turkey with population less than 1 million},
B = {x| x is a city in Turkey with population greater than 500 000}.
Then A ? B ={x| x is a city in Turkey with population between 500 000 and 1 million}.
As also understood from the information given,
If A = {1, 2, 3, 5, 8} and B = {2, 3, 10, 11}, the expressions in the options;
I “A ? B = {2, 3}”
III “A \ B = {1, 5, 8}”
IV “B \ A = {10, 11}” are correct, so the correct answer is D.
If an element appears in both sets then we only list it once in the new set, so the expression in the option II “A ? B = {1, 2, 2, 3, 3, 5, 8, 10, 11}” is not correct. It is written as;
A ? B = {1, 2, 3, 5, 8, 10, 11}.
9.Soru
Wich one of the following irregular number?
Wich one of the following irregular number?
|
-16 |
|
|
|
1 |
|
|
|
0 |
Correct answer is B.
10.Soru
Let f : R › R , f (x)= 2x + 6 and g : R › R g(x)=x2+3 be given. Calculate f / g (-1).
|
1 |
|
2 |
|
3 |
|
4 |
|
5 |
Since g cannot be zero, f / g is meaningful, and the answer can be calculated.
The answer is, then, (-2+6) / ((-1)2 +3) = 4 / 4 ) = 1
12.Soru
Given the functions f :R›R, f (x) = 1 – x and g :R›R, g(x) = x – 2 find (gof)(7)=?
|
0 |
|
-2 |
|
6 |
|
7 |
|
-8 |
(gof)(x)=g(f(x)) then (gof)(7)=g(f(7)) by the way f(7)=1-7=-6 (gof)(7)=g(-6)=-6-2=-8
13.Soru
What is the largest domain of the function f(x) = (2x - 4) / (2x - 10)?
|
R \ {0, 2, 5} |
|
R |
|
R \ {2, 5} |
|
R \ {2} |
|
R \ {5} |
This function makes sense if its denominator is not zero, i.e. the condition of 2x - 10 ? 0 should be satisfied. Hence, if x ? 5, this condition is satisfied. Therefore, the largest domain of the function is R \ {5}.
14.Soru
The total number of students in a class is 45, the number of students passing Mathematics test is 35, the number of students passing Turkish test is 40. If the number of students passing neither Mathematics nor Turkish is 5. Find the number of students passing both Mathematics and Turkish tests.
The total number of students in a class is 45, the number of students passing Mathematics test is 35, the number of students passing Turkish test is 40. If the number of students passing neither Mathematics nor Turkish is 5. Find the number of students passing both Mathematics and Turkish tests.
|
15 |
|
20 |
|
25 |
|
30 |
|
35 |
Since the total number of students is 45 then s(M ∪ T) = 45 – 5 = 40. Using the formula
(M ∪ T) = s(M) + s(T) – s(M ∩ T), we have s(M ∩ T) = 35+ 40 – 40 = 35 which is the required number.
Correct answer is 35.
15.Soru
[-3, 5) ? (4, 7] = ?
|
[4, 5) |
|
(4, 5) |
|
[4, 5] |
|
(4, 5] |
|
[-3, 4) |
x = [4, 5]. Correct answer is C.
16.Soru
Which of the following ones is a solution set of x2 – 1 = 0 ?
|
{-1, 1} |
|
{1} |
|
Ø |
|
(-1, 1) |
|
[-1, 1] |
x{-1, 1}. pg. 52. Correct answer is A.
17.Soru
In a certain culture, the number of cells increases at a rate proportional to the number of cells present. If there are 150 cells present initially and 600 cells in one hour, find the number of cells in 4 hours?
|
8100 |
|
16200 |
|
38400 |
|
55000 |
|
102400 |
Let the function P(t) denote the number of the cells at time t in this culture.
P(t) = P0ekt
P(0)=P0=150
P(1)=P0ek.1 › P(1)=150ek =600 › ek=5 then k=ln4 =2ln2
The equation is, P(t) = 150e2ln2t
for t=4›P(4)=150e2(ln2).4
=150.28=38400.
18.Soru
Let f:R›R f(x)=x³-x²+5x-12 be given. What is the value of f(5)?
|
74 |
|
99 |
|
102 |
|
113 |
|
127 |
f(x)=x³-x²+5x-12 if we put 5 instead of x then,
f(5)=5³-5²+25-12=125-25+25-12=113
-
- 1.SORU ÇÖZÜLMEDİ
- 2.SORU ÇÖZÜLMEDİ
- 3.SORU ÇÖZÜLMEDİ
- 4.SORU ÇÖZÜLMEDİ
- 5.SORU ÇÖZÜLMEDİ
- 6.SORU ÇÖZÜLMEDİ
- 7.SORU ÇÖZÜLMEDİ
- 8.SORU ÇÖZÜLMEDİ
- 9.SORU ÇÖZÜLMEDİ
- 10.SORU ÇÖZÜLMEDİ
- 11.SORU ÇÖZÜLMEDİ
- 12.SORU ÇÖZÜLMEDİ
- 13.SORU ÇÖZÜLMEDİ
- 14.SORU ÇÖZÜLMEDİ
- 15.SORU ÇÖZÜLMEDİ
- 16.SORU ÇÖZÜLMEDİ
- 17.SORU ÇÖZÜLMEDİ
- 18.SORU ÇÖZÜLMEDİ