aof.sorular.net
Mathematics 1
Mathematics 1 Deneme Sınavı
Mathematics 1 Deneme Sınavı Sorusu #1225867
Mathematics 1 Deneme Sınavı Sorusu #1225867
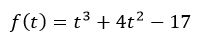
A particle moves along the x-axis in such a way that its position at time t is . Find the average velocity over the interval [1, 4].
|
124/3 |
|
111/2 |
|
5 |
|
43 |
|
110/3 |
Yanıt Açıklaması:
The answer is A.
Yorumlar
- 0 Yorum