Mathematics 1 Final 12. Deneme Sınavı
Toplam 20 Soru1.Soru
If then
|
5 |
|
1 |
|
3 |
|
-1 |
|
0 |
The function is a rational function. Since the degree of the numerator is less than the degree of the denominator, the following result is true:
. The answer is E.
2.Soru
Which of the following is the slope of the graph of at the point (1, 1)?
|
3 |
|
4 |
|
5 |
|
6 |
|
7 |
The answer is D.
3.Soru
Let p denote the price and q denote the quantity of a product. If the demand to this product is given by q(p)=450-2(p^2), what is the price elasticity of demand when p=10?
|
1,6 |
|
1,2 |
|
1,5 |
|
2,6 |
|
2,5 |
Once again price elasticity of demand is
The answer is A.
4.Soru
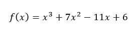
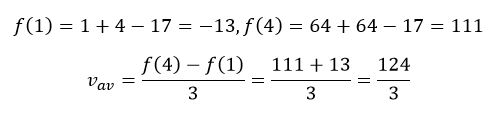
A particle moves along the x-axis in such a way that its position at time t is . Find the average velocity over the interval [1, 4].
|
124/3 |
|
111/2 |
|
5 |
|
43 |
|
110/3 |
The answer is A.
5.Soru
If the demand function of a particular commodity is given by p(q)=900-q/3 what is the price when demand is of unit elastic?
|
900 |
|
175 |
|
450 |
|
270 |
|
350 |
Let us write the demand function for q
q=2700-3p
Taking the derivative with respect to p we get
dq/dp = -3
The price elasticity of demand is
From this equation we can easily write the price for the unit elasticity which is
1=3p/(2700-3p)
and the sought for price is p=450. Therefore, the answer is C.
6.Soru
For the functions f : R› R , f (x) = 3x - 7 and g : R› R , g(x) = -x + 3, what is the value of the composition (f ° g)(2)=?
|
-1 |
|
-2 |
|
-3 |
|
-4 |
|
-5 |
(f ° g)(2) equals to f ( g(2) ). g(2), substituting 2 with x in the g function is -2 +3 = 1. Then, (f ° g)(2) = f (1) = 3 . 1 -7 = 3 - 7 = -4.
7.Soru
Let p denote the price and q denote the quantity of a product. If the demand to this product is given by
What is the price elasticity of demand when p=10?
|
0 |
|
1 |
|
2 |
|
3 |
|
4 |
Price elasticity of demans is
8.Soru
A rectangular farming area of 6050 m² needs to be designed. The area is bounded from one side by the wall and requires fencing from the other three parts (one length and two widths). What is the minimum length of the fencing required.
|
175 m |
|
210 m |
|
220 m |
|
250 m |
|
275 m |
xy=6050
L(x, y, ?) = x+2y+ ?(xy-6050).
?L/?x =0, ?L/?y =0, ?L/?? =0
1+?y=0, 2+?x=0, xy-6050=0
Hence, ?=-1/y=-2/x
x=2y
2y²=6050
y=55, x=110
x+2y=220 m.
9.Soru
The additional cost needed to produce or purchase one more unit of a good or service is called________.
|
the Marginal Analysis |
|
the Marginal Cost |
|
the Marginal Revenue |
|
the Marginal Profit |
|
the Margianl Risk |
The additional cost needed to produce or purchase one more unit of a good or service is called the marginal cost. It corresponds to the derivative of the total cost function C(x).
10.Soru
Given function f(x) = (x+1)(3-x), find the local maximum value for this function
|
0 |
|
1 |
|
2 |
|
4 |
|
8 |
f(x) = (x+1)(3-x)
f'(x) = (x+1)'(3-x)+ (x+1)(3-x)'
f'(x) = (3-x)+(-x-1)
f'(x) = 2-2x
f'(x) =2-2x=0 › x=1
f(1) = 4
12.Soru
Given that f : R› R, f (x) = 3x + 5 which of the following equals to f-1 (2)?
|
1 |
|
2 |
|
3 |
|
4 |
|
5 |
It is clear that this function has an inverse. Hence, for finding f-1 (x), we write y = 3x + 5. What we find is x = (5 - y) / 3. Then, f-1 (x) = (5 - y) / 3. Substituting 2 with x, we find 1.
13.Soru
The demand function of A is p(q) = 555 – (q / 5). What is the price when the demand is of unit elastic ?
|
555.0 |
|
812.5 |
|
257.5 |
|
1.110.0 |
|
55.5 |
Ep = |(p / q) (dq / dp)| = 1 for unit elastic ; q = 2.575 – (5 p) ; dq / dp = -5 ; Ep = |(p / (2.575 – (5 p))) (-5)| = 1 ; p / (2.575 – (5 p)) (-5) = 1 ; 5 p / (2.575 – 5 p) = 1 ; 10 p = 2.575 ; p = 257.5 . pg. 166. Correct answer is C.
14.Soru
A hardware manufacturer company sells its new product for 130 TL per item. Total cost consists of a fixed cost of 4400 TL, and the production cost of 50 TL per item. How many items must the manufacturer sell to gain a profit of 2500 TL?
|
80 units |
|
82,65 units |
|
86,25 units |
|
87,75 units |
|
85,50 units |
If the company wants to make a profit of 2500TL then the profit function must be equal to this quantity. In other words,
P(x)= 2500 ? 80 x-4400=2500?80 x=6900 so that
x=86,25 units.
15.Soru
Given that f(x,y)=(3lnx+1)/(e-3x) + (y²x²)/(x+y)
What is the value of the partial derivative of ?f / ?y at the point (1,2)=?
|
-1/2 |
|
0 |
|
1/2 |
|
1 |
|
3 |
f(x,y)=(3lnx+1)/(e-3x) + (y²x²)/(x+y)
?f / ?y = [(2x²y).(x+y)-(x+y).1] / (x+y)²
By the way x=1,y=-1
?f / ?y = [(4).(3)-(3).1] / (3)²=1
16.Soru
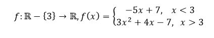
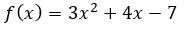
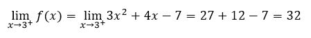
If then which of the following is the value of
?
|
32 |
|
-8 |
|
-15 |
|
-3 |
|
0 |
Becuase x approaches 3 from the right side x is greater than 3 and for x>3, f is given by the rule . So, the result follows as
. The answer is A.
17.Soru
What is the solution set of the inequality x2 -6x + 5 < 0?
|
(3, 4) |
|
(2, 5) |
|
(1, 5) |
|
(0, 6) |
|
(0, 5) |
If x2 -6x + 5 = 0 then the roots are {1, 5} from the formula (see p. 54). Since the left side of 1 and the right side of 5 on the sign table are positive (+), the solution of x2 -6x + 5 < 0 is the interval (1, 5).
18.Soru
f(x, y) = ey + yx2 – x – 1 ; ?f / ?y = ?
|
ey + x2 – x |
|
ey + 2 x |
|
ey + 2 y x2 |
|
ey + x2 |
|
ey + y x2 |
ey + x2 . pg. 183. Correct answer is D.
19.Soru
The private electric company EsLeki supplying electric to the citizens of Eskişehir has a monthly demand of p(x)=200-3x, where x corresponds to one kilowatt hour. The cost function of the company is given by C(x)=75+80x-x2, 0?x?40. What is the value of x ?
|
10 |
|
20 |
|
30 |
|
40 |
|
50 |
The profit function we would like to maximise is P(x)=R(x)-C(x)
R(x)=x p(x)=x ·(200-3x)=200x -3x2
so that
P(x)=-2x 2 +120x-75
To find the maximum price, let us take the derivative of P(x) and equate it to zero:
P'(x)=-4x+120 = 0 ? x=30
20.Soru
While approaching from the left limx→1 (x3 – 1) / (x – 1) = ?
|
∞ |
|
does not exist |
|
0 |
|
3 |
|
1 |
(x – 1) (x2 + x + 1) / (x – 1) = x2 + x + 1 = 3 ; x ≠ 1 . pg. 108. Correct answer is D.
-
- 1.SORU ÇÖZÜLMEDİ
- 2.SORU ÇÖZÜLMEDİ
- 3.SORU ÇÖZÜLMEDİ
- 4.SORU ÇÖZÜLMEDİ
- 5.SORU ÇÖZÜLMEDİ
- 6.SORU ÇÖZÜLMEDİ
- 7.SORU ÇÖZÜLMEDİ
- 8.SORU ÇÖZÜLMEDİ
- 9.SORU ÇÖZÜLMEDİ
- 10.SORU ÇÖZÜLMEDİ
- 11.SORU ÇÖZÜLMEDİ
- 12.SORU ÇÖZÜLMEDİ
- 13.SORU ÇÖZÜLMEDİ
- 14.SORU ÇÖZÜLMEDİ
- 15.SORU ÇÖZÜLMEDİ
- 16.SORU ÇÖZÜLMEDİ
- 17.SORU ÇÖZÜLMEDİ
- 18.SORU ÇÖZÜLMEDİ
- 19.SORU ÇÖZÜLMEDİ
- 20.SORU ÇÖZÜLMEDİ