aof.sorular.net
Mathematics 1
Mathematics 1 Deneme Sınavı
Mathematics 1 Deneme Sınavı Sorusu #1272405
Mathematics 1 Deneme Sınavı Sorusu #1272405
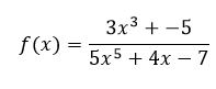
If then
|
5 |
|
1 |
|
3 |
|
-1 |
|
0 |
Yanıt Açıklaması:
The function is a rational function. Since the degree of the numerator is less than the degree of the denominator, the following result is true:
. The answer is E.
Yorumlar
- 0 Yorum