aof.sorular.net
Mathematics 1
Mathematics 1 Deneme Sınavı
Mathematics 1 Deneme Sınavı Sorusu #1380106
Mathematics 1 Deneme Sınavı Sorusu #1380106
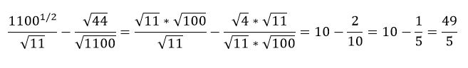
What is the value ?
|
51/5 |
|
49/5 |
|
12 |
|
10 |
|
5 |
Yanıt Açıklaması:
The answer is B.
Yorumlar
- 0 Yorum