aof.sorular.net
Mathematics 2
Mathematics 2 Deneme Sınavı
Mathematics 2 Deneme Sınavı Sorusu #365025
Mathematics 2 Deneme Sınavı Sorusu #365025
|
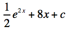
(2x+4)e2x+c |
|
|
|
2e2x+4x2+x+c |
|
xe2x+c |
|
|
Yanıt Açıklaması:
Let us use the integration by parts method. Let u=4x+10 which gives du=4dx. Also, let dv=e2xdx which gives
.
Substituting these values into ∫udv=uv-∫vdu we get;
for any arbitrary real number c.
Yorumlar
- 0 Yorum