Mathematics 2 Ara 12. Deneme Sınavı
Toplam 19 Soru1.Soru
What is the general solution of the ODE
|
|
|
|
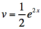
|
|
|
|
|
|
Let us put
and substitute it into the differential equation. Then the characteristic equation is
So, the general equation can be written as
The correct answer is E.
2.Soru
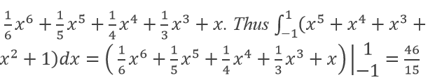
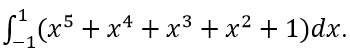
Evaluate the integral
|
0 |
|
5 |
|
11 |
|
9 |
|
6 |
the correct answer is A.
3.Soru
Evaluate the integral
|
5 |
|
7 |
|
7/3 |
|
2/3 |
|
2 |
the correct answer is C.
4.Soru
Which of the following equations has the particular solution
|
|
|
|
|
|
|
|
|
|
Substituting
into suggested equations, we find that the only equation that is satisfied is D) indeed
Correct answer is D .
5.Soru
Let h(x)=2x2+ax-1 and h(2)=15. What is the value of "a" ?
|
5 |
|
6 |
|
7 |
|
4 |
|
3 |
h(2)=2.22+2a-1=7+2a. Since h(2)=15, then 7+2a=15. If we solve this equation 2a=8. And we obtain a=4.
6.Soru
A certain item is supplied according to the rule
and its prices for an amount of
units is 65TL. Compute the expected income.
|
67 |
|
68 |
|
69 |
|
70 |
|
71 |
The area under the graph of the supply function corresponds to the expected income, so
7.Soru
Evaluate the integral
|
|
|
|
|
|
|
|
|
|
The antiderivative of the integrand is
8.Soru
The management of a national change of market outlets is selling a 10 year franchise in Turkey. Past experience in similar localities suggest that t years from now the franchise will be generating profit at the rate of f (t) = 18000 TL per year. If the prevailing annual interest rate remains fixed at 10% compounded continuously, what is the present value of the franchise?
|
113782 |
|
115902 |
|
116795 |
|
118782 |
|
120902 |
9.Soru
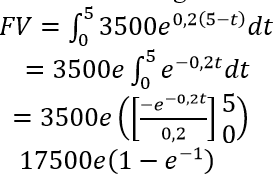
What is the future value at
compounded continuously for 5 years for the continuous income stream with a constant rate of flow
|
|
|
|
|
|
|
|
|
|
As before we only need to apply the formula for the future value of income . Since the time period is
and the interest rate gives
we have
Correct answer is A
10.Soru
What is the result of
|
|
|
|
|
|
|
|
|
|
Let u=x3+4 then du=3x2dx. Thus we obtain
11.Soru
"In a certain market, if a producer who is willing to sell a product at a certain price may sell the product higher than the price he asks, then he has increased his revenue."
According to explanation above, which of the following options is called as this extra amount gained?
|
Gini index |
|
Marginal profit |
|
producer surplus |
|
the market equilibrium point |
|
the equilibrium price |
In a certain market, if a producer who is willing to sell a product at a certain price may sell the product higher than the price he asks, then he has increased his revenue. This extra amount gained is called the producer surplus (PS). In other words, the producer surplus is the difference of the price the producer is willing to sell and the actual price he sells his product.
12.Soru
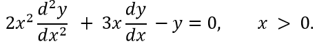
Solve the following ODE (ordinary differential equation)
|
|
|
|
|
|
|
|
|
|
13.Soru
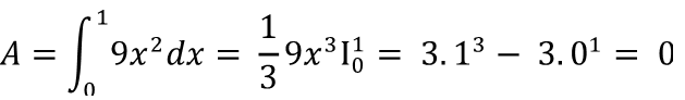
What is the area of the region bounded by the parabola
and the
|
|
|
|
|
|
|
|
|
|
Since given parabola intersects
at
and the required area is under the
then we evaluate required area by the definite integral below:
Thus, the right answer is D.
14.Soru
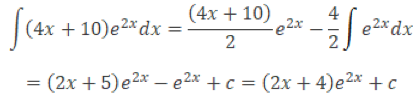
|
(2x+4)e2x+c |
|
|
|
2e2x+4x2+x+c |
|
xe2x+c |
|
|
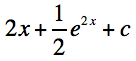
Let us use the integration by parts method. Let u=4x+10 which gives du=4dx. Also, let dv=e2xdx which gives
.
Substituting these values into ∫udv=uv-∫vdu we get;
for any arbitrary real number c.
15.Soru
What is the area between the x-axis and the graph of the function
over the interval [-2, 1]?
|
8 |
|
10 |
|
12 |
|
14 |
|
16 |
on the interval [-2, 1], therefore the sought for area A can be calculated by definite integral:
The antiderivative of
is
so
Therefore the correct answer is the C option.
16.Soru
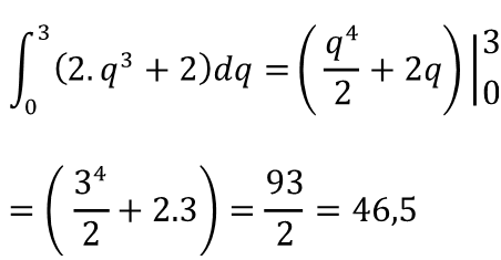
A certain item is supplied according to the rule
and its prices for an amount of q0 units is 56TL. Compute the expected income?
|
24,5 |
|
32 |
|
46,5 |
|
49 |
|
57,5 |
First, we must find q0:
Since the area under the graph of the supply function corresponds to the expected income, we can evaluate it by integrating the supply function from q = 0 to q = 3 which gives
17.Soru
Solve
|
|
|
|
|
|
|
|
|
|
Substituting
in the equation we get
Hence
so the general solution of the equation is
18.Soru
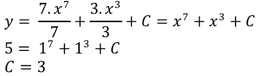
Consider the following ODE subject to an initial condition
subject to an initial condition y(1)=5, C=?
|
3 |
|
4 |
|
5 |
|
7 |
|
9 |
19.Soru
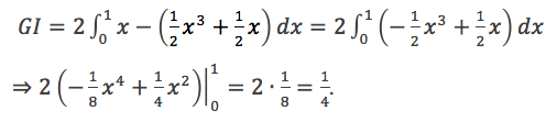
Which of the following is the Gini index for the given Lorenz curve
|
1 |
|
|
|
|
|
|
|
|
The solution is quite straightforward. Using the integral formula for Gini index, we get
-
- 1.SORU ÇÖZÜLMEDİ
- 2.SORU ÇÖZÜLMEDİ
- 3.SORU ÇÖZÜLMEDİ
- 4.SORU ÇÖZÜLMEDİ
- 5.SORU ÇÖZÜLMEDİ
- 6.SORU ÇÖZÜLMEDİ
- 7.SORU ÇÖZÜLMEDİ
- 8.SORU ÇÖZÜLMEDİ
- 9.SORU ÇÖZÜLMEDİ
- 10.SORU ÇÖZÜLMEDİ
- 11.SORU ÇÖZÜLMEDİ
- 12.SORU ÇÖZÜLMEDİ
- 13.SORU ÇÖZÜLMEDİ
- 14.SORU ÇÖZÜLMEDİ
- 15.SORU ÇÖZÜLMEDİ
- 16.SORU ÇÖZÜLMEDİ
- 17.SORU ÇÖZÜLMEDİ
- 18.SORU ÇÖZÜLMEDİ
- 19.SORU ÇÖZÜLMEDİ