aof.sorular.net
Mathematics 2
Mathematics 2 Deneme Sınavı
Mathematics 2 Deneme Sınavı Sorusu #447510
Mathematics 2 Deneme Sınavı Sorusu #447510
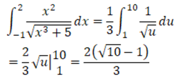
What is the solution to the integral
|
|
|
|
|
|
|
|
|
|
Yanıt Açıklaması:
Let us use the change of variables method. Let
which gives
and for upper bound
and for lower bound
Substituting these values into the integral we get
The correct answer is A.
Yorumlar
- 0 Yorum