Mathematics 2 Ara 2. Deneme Sınavı
Toplam 20 Soru1.Soru
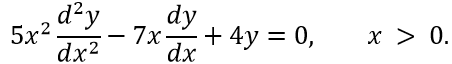
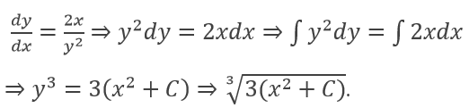
Solve
|
|
|
|
|
|
|
|
|
|
Setting
in the Euler equation we obtain
the general solution of the given equation is
2.Soru
Find the general solution
|
|
|
|
|
|
|
|
|
|
The solution is quite straightforward. The given equation is a separable differential equation so
The correct answer is E.
3.Soru
A company expects its income during the next 5 years to be modelled by
Assuming an annual inflation rate of 12% what is the present value of this income?
|
|
|
|
|
By the formula we have
Let us calculate
and from integration by parts we have
Therefore, we obtain
The right answer is C.
4.Soru
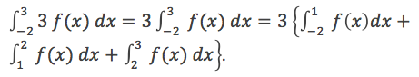
For a continuous function
then which of the following is the value of the integral
|
3 |
|
9 |
|
-1 |
|
4 |
|
-2 |
Employing the properties of the integral,
Using the information supplied in the question, we obtain
6.Soru
A radioactive isotope has a half-life of 15 days. How much amount of isotope should we start with if we want to have 55 g isotope at the end of 60 days?
|
573 |
|
673 |
|
773 |
|
873 |
|
973 |
We know that if the original mass was M0, then after 15 days we have
Hence
Thus we obtain
7.Soru
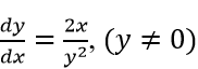
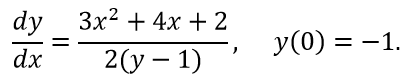
Obtain the solution
explicitly from the initial value problem
|
|
|
|
|
|
|
|
|
|
The general solution of the ODE is
Substituting
we obtain
This equation is quadratic in y and we obtain
Only
satisfy the given initial condition.
8.Soru
A country’s distribution of income is defined by the Lorenz curve
. What is the Gini index of this country?
|
|
|
|
|
|
|
|
|
|
The Gini index is calculated using the formula
Where
is the Lorenz curve, Inserting
given in
Correct answer is D .
9.Soru
Which of the following functions is an antiderivative of
|
ex+lnx+6x2 |
|
ex+lnx+4x3 |
|
xex+xlnx+2x |
|
(xex+6x2).lnx |
|
|
Since
and
10.Soru
Considering the toy mentioned above question supplied according to the rule
what is the expected income?
|
79 |
|
125 |
|
129 |
|
139 |
|
145 |
The area under the graph of the supply function corresponds to the expected income. So we have
The right answer is E.
11.Soru
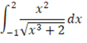
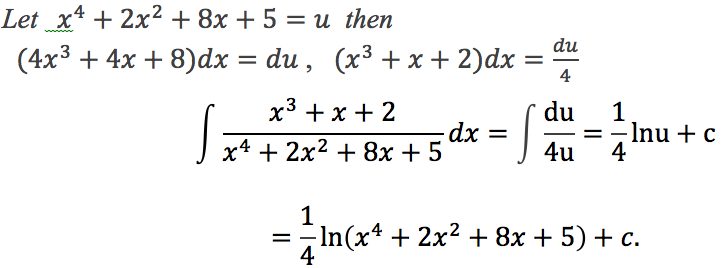
What is the solution to the integral
|
|
|
|
|
|
|
|
|
|
Let us use the change of variables method. Let
which gives
and for upper bound
and for lower bound
Substituting these values into the integral we get
The correct answer is A.
12.Soru
What is the result of
|
|
|
|
|
x3+x+c |
|
|
|
|
Let u=x3+x that gives du=(3x2+1)dx and
we substitute and in the integral we have
13.Soru
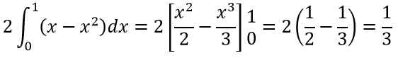
What is the area between the curves
|
|
|
|
|
|
|
|
|
|
We first find the intersection points of the given curves. Let us equate them
We find the intersection points
For the interval
we have
so the area A is evaluated as
The correct answer is C.
14.Soru
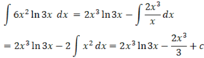
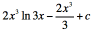
What is the solution to the integral ∫6x2ln(3x)dx?
|
|
|
|
|
|
|
|
|
|
To use the integration by parts method, let u=ln3x and dv=6x2dx. Then we have
and v=2x3 Inserting above equalities into ∫udv=uv-∫vdu we get;
where c is an arbitrary real number.
15.Soru
Consider the following ODE subject to an initial condition
|
2 |
|
4 |
|
5 |
|
7 |
|
9 |
16.Soru
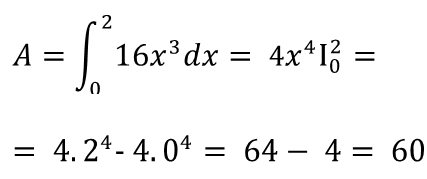
Evaluate the integral
|
20 |
|
40 |
|
50 |
|
60 |
|
80 |
the correct answer is D.
17.Soru
|
|
|
|
|
|
|
|
|
|
Let
Therefore the correct answer is the C option.
18.Soru
What is the dolution of the initial value promlem
|
|
|
|
|
|
|
|
|
|
Correct answer is A.
19.Soru
According to the graph of the function f given under, what is the value of the integral
|
|
|
|
|
|
|
|
|
|
Since the function in question is a linear one, the integral may be calculated by using the areas of triangles and squares. For –3≤x≤0, let A1 denote the area of the triangle above the x-axis and under the graph. In the interval [0, 2], the area is denoted by A2, and for 2≤x≤4, the area under the graph is denoted by A3. Then the definite integral is found as
Therefore the correct answer is the D option.
20.Soru
Solve the differential equation
|
|
|
|
|
|
|
|
|
|
The integrating factor is
Multiplying the equation
by this factor leads to the equation
By integrating both sides of above equation, using integration by parts on the second term on the right side, we obtain
where c is an arbitrary constant. Thus
-
- 1.SORU ÇÖZÜLMEDİ
- 2.SORU ÇÖZÜLMEDİ
- 3.SORU ÇÖZÜLMEDİ
- 4.SORU ÇÖZÜLMEDİ
- 5.SORU ÇÖZÜLMEDİ
- 6.SORU ÇÖZÜLMEDİ
- 7.SORU ÇÖZÜLMEDİ
- 8.SORU ÇÖZÜLMEDİ
- 9.SORU ÇÖZÜLMEDİ
- 10.SORU ÇÖZÜLMEDİ
- 11.SORU ÇÖZÜLMEDİ
- 12.SORU ÇÖZÜLMEDİ
- 13.SORU ÇÖZÜLMEDİ
- 14.SORU ÇÖZÜLMEDİ
- 15.SORU ÇÖZÜLMEDİ
- 16.SORU ÇÖZÜLMEDİ
- 17.SORU ÇÖZÜLMEDİ
- 18.SORU ÇÖZÜLMEDİ
- 19.SORU ÇÖZÜLMEDİ
- 20.SORU ÇÖZÜLMEDİ