aof.sorular.net
Mathematics 2
Mathematics 2 Deneme Sınavı
Mathematics 2 Deneme Sınavı Sorusu #450944
Mathematics 2 Deneme Sınavı Sorusu #450944
A company expects its income during the next 5 years to be modelled by
Assuming an annual inflation rate of 12% what is the present value of this income?
|
|
|
|
|
Yanıt Açıklaması:
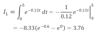
By the formula we have
Let us calculate
and from integration by parts we have
Therefore, we obtain
The right answer is C.
Yorumlar
- 0 Yorum