aof.sorular.net
Mathematics 2
Mathematics 2 Deneme Sınavı
Mathematics 2 Deneme Sınavı Sorusu #363511
Mathematics 2 Deneme Sınavı Sorusu #363511
|
|
|
|
|
|
|
|
|
|
Yanıt Açıklaması:
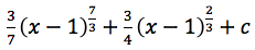
Setting u=x-1, ve get du=dx, then
Yorumlar
- 0 Yorum