Mathematics 2 Ara 3. Deneme Sınavı
Toplam 19 Soru1.Soru
then what is the value of L4(f) for the partition
|
|
|
|
|
|
|
|
|
|
We consider the subintervals
to evaluate L4(f). By definition we obtain
2.Soru
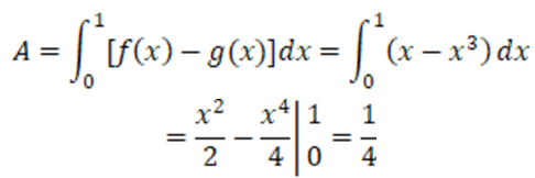
What is the area bounded by the graphs of the functions
on the interval
|
1 |
|
1/2 |
|
1/3 |
|
1/4 |
|
1/5 |
For
we have
Hence, the area can be calculated with the formula
Hence the right answer is D.
3.Soru
What is the solution of the initial value problem
|
|
|
|
|
|
|
|
|
|
Starting with the trial solution
We obtain
Hence the general solution is
The initial conditions gives us
and by this equations we have
Thus the solution of IVP is
4.Soru
Which of the following is
|
x2-2x+1 |
|
2x-2 |
|
x2+2x-1 |
|
2x2-3 |
|
4x2-4x-1 |
6.Soru
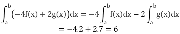
If
for the continuous function f, then what is the value of the integral
|
-4 |
|
-2 |
|
0 |
|
4 |
|
18 |
For an integrable function f on
the definite integral can be written as
Considering this we can write the question as
So;
So the correct answer is A.
7.Soru
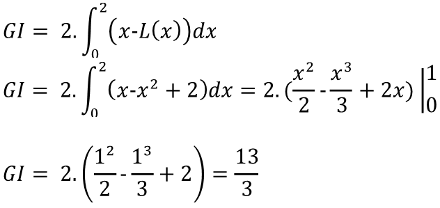
Calculate the Gini index for the following Lorenz function
|
5 |
|
7 |
|
13/3 |
|
2/3 |
|
2 |
Let us calculate the Gini index for the first function. Inserting the Lorenz function into the formula for the Gini index given above, we obtain
8.Soru
What is the solution of the initial value problem
|
|
|
|
|
|
|
|
|
|
Correct answer is C.
10.Soru
Which of the following is the value of the integral
|
|
|
|
|
|
|
|
|
|
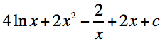
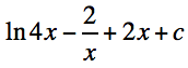
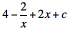
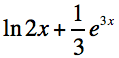
11.Soru
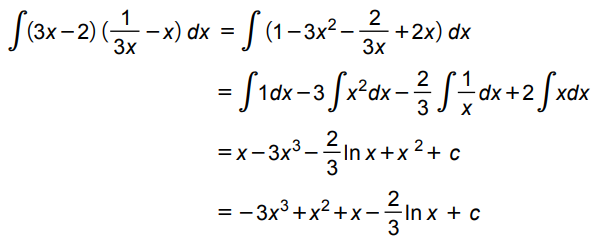
What is the antiderivative for the function
|
|
|
|
|
|
|
|
|
|
A function F is called an antiderivative of f on an interval (a, b) if F' (x) = f (x) for all x in (a, b). Thus, an antiderivative of
is a function such that its derivative is
We can take
since
12.Soru
If
then what is the value of
|
1 |
|
2 |
|
4 |
|
6 |
|
8 |
By the linearity of the definite integral it is clear that
Hence the right answer is D.
13.Soru
What is the general solution of the differential equation
|
y=ce4x |
|
y=ce4x+ex |
|
y=ce4x+4 |
|
y=4ex |
|
y=4e4x |
Since this equation is an first order ODE with a constant coefficient, it is clear that y=ce4x is the general solution.
14.Soru
Consider a town whose population grows at a rate proportional to the present population. If the initial population of 10000 increases by 10% in 5 years, what will be the population after 10 years?
|
12000 |
|
14642 |
|
17452 |
|
19200 |
|
21000 |
We know the initial population P0=10000, and that at t=5 the population is P=10000∙1.10. Hence, from (13)
herefore, after 20 years,
15.Soru
?
|
|
|
|
|
|
|
|
|
|
Therefore the correct answer is the D option.
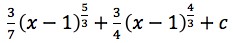
16.Soru
|
|
|
|
|
|
|
|
|
|
Setting u=x-1, ve get du=dx, then
17.Soru
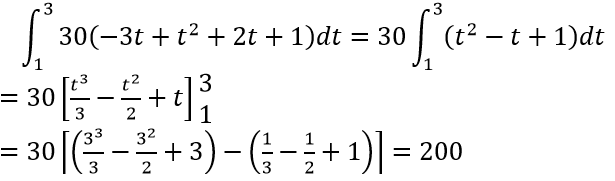
An instrument producer firm will launch a new piano model. The production rate of the new model , after weeks is given by the function
Where denotes the quantity of piano produced. How many pianos will be produced from the beginning of the first week to the end third week?
|
140 |
|
185 |
|
190 |
|
196 |
|
200 |
Correct answer is E .
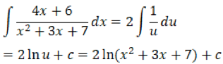
18.Soru
What is the solution to the integral
|
|
|
|
|
|
|
|
|
|
Let us use the change of variables method. Let u=x2+3x+7 which gives du=(2x+3)dx and 2du=(4x+6)dx. Substituting these values into the integral we get
where c is an arbitrary real number.
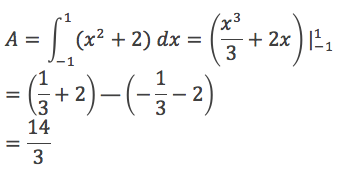
19.Soru
What is the area under the graph of f(x)=x2+2 on the interval
|
|
|
|
|
|
|
|
|
|
The sought for area is expressed in terms of the definite integral as
-
- 1.SORU ÇÖZÜLMEDİ
- 2.SORU ÇÖZÜLMEDİ
- 3.SORU ÇÖZÜLMEDİ
- 4.SORU ÇÖZÜLMEDİ
- 5.SORU ÇÖZÜLMEDİ
- 6.SORU ÇÖZÜLMEDİ
- 7.SORU ÇÖZÜLMEDİ
- 8.SORU ÇÖZÜLMEDİ
- 9.SORU ÇÖZÜLMEDİ
- 10.SORU ÇÖZÜLMEDİ
- 11.SORU ÇÖZÜLMEDİ
- 12.SORU ÇÖZÜLMEDİ
- 13.SORU ÇÖZÜLMEDİ
- 14.SORU ÇÖZÜLMEDİ
- 15.SORU ÇÖZÜLMEDİ
- 16.SORU ÇÖZÜLMEDİ
- 17.SORU ÇÖZÜLMEDİ
- 18.SORU ÇÖZÜLMEDİ
- 19.SORU ÇÖZÜLMEDİ