aof.sorular.net
Mathematics 2
Mathematics 2 Deneme Sınavı
Mathematics 2 Deneme Sınavı Sorusu #443929
Mathematics 2 Deneme Sınavı Sorusu #443929
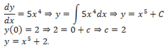
What is the solution of the initial value problem
|
|
|
|
|
|
|
|
|
|
Yanıt Açıklaması:
Correct answer is C.
Yorumlar
- 0 Yorum