aof.sorular.net
Mathematics 2
Mathematics 2 Deneme Sınavı
Mathematics 2 Deneme Sınavı Sorusu #368763
Mathematics 2 Deneme Sınavı Sorusu #368763
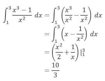
Which of the following is the value of the integral
|
|
|
|
|
|
|
|
|
|
Yanıt Açıklaması:
Yorumlar
- 0 Yorum