aof.sorular.net
Mathematics 2
Mathematics 2 Deneme Sınavı
Mathematics 2 Deneme Sınavı Sorusu #447314
Mathematics 2 Deneme Sınavı Sorusu #447314
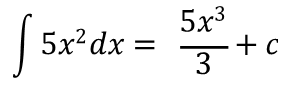
Find the following integral
|
|
|
|
|
|
|
|
|
|
Yanıt Açıklaması:
the correct answer is A.
Yorumlar
- 0 Yorum