Mathematics 2 Ara 4. Deneme Sınavı
Toplam 18 Soru1.Soru
A bacteria population grows at a rate proportional to the present population. If the initial population of 10000 increases by %20 in 1 hour, what will be the population after 12 hours?
|
86700 |
|
90000 |
|
12500 |
|
18600 |
|
67800 |
We know the initial population
and that at
the population is
Hence, from
So after 12 hours,
The correct answer is A.
2.Soru
Evaluate the integral
|
|
|
ex+c |
|
xe+c |
|
ee+c |
|
|
If we set then we obtain
This substitution gives the following integral,
3.Soru
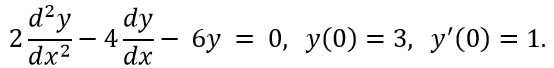
Find the solution of the initial value problem
|
|
|
|
|
|
|
|
|
|
The general solution of the differential equation is
from the previous solution. To satisfy the first initial condition we set
in the general solution; thus
must satisfy
To use the second initial condition we must first differentiate the equation
This gives
Then, setting
we obtain
By solving the equations involving
together we find that
Using these values in the general solution, we obtain the solution
4.Soru
Evaluate the indefinite integral
|
ln(x+ex)+c |
|
ln(1+xex)+c |
|
ln(ex)+c |
|
ln(1+ex)+c |
|
1+ex+c |
The substitution u=1+ex gives du=exdx. Therefore we have
5.Soru
|
|
|
|
|
|
|
|
|
|
Let
then
also the boundaries become
and
Substituting these values into the question we have
Hence the correct answer is E.
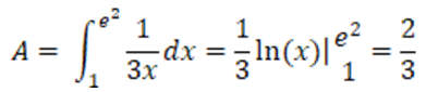
6.Soru
What is the area under the graph of
on the interval on the interval
|
4/3 |
|
ln(3e) |
|
ln3 |
|
2/3 |
|
1 |
The area can be calculated as
So the correct answer is D.
7.Soru
What is the future value at %15 compounded continuously for 3 years for the continuous income stream with a constant rate of flow f (t) = 3500?
|
|
|
|
|
|
|
|
|
|
As before, we only need to apply the formula for the future value of an income. Since the time period is T = 3 and the interest rate gives r = 0,15, we have
Hence the correct solution is B.
8.Soru
Find the following integral
|
|
|
|
|
|
|
|
|
|
the correct answer is A.
9.Soru
Records indicate that t monhts after the beginning of the year, the price of gum in a certain market was
What was the average price of gum during the first 3 months?
|
|
|
|
|
|
|
|
|
|
10.Soru
Suppose the market for wheat is described by the graph below, where the supply is
and the demand is
what is the consumer surplus for this model?
|
4 |
|
5 |
|
6 |
|
7 |
|
8 |
The consumer surplus is evaluated taking into account the demand function since the equilibrium point
we have
Correct answer is B
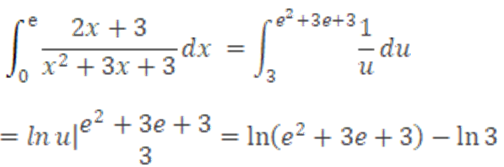
11.Soru
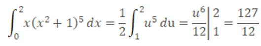
What is the solution to the integral
|
|
|
|
|
|
|
|
|
|
Let us use the change of variables method. Let
and the upper bound becomes
and the lower bound becomes
Substituting these values into the integral we get
which gives the correct answer B.
12.Soru
If the marginal revenue for selling x units of a product is defined by
What is the total revenue if the sale increases from 10 units 20 units?
|
550 |
|
650 |
|
750 |
|
850 |
|
950 |
13.Soru
Which of the following expressions is first order differential equation ?
|
|
|
|
|
|
|
|
|
|
It is known that the general form of a first order differential equation
so the equation
is a differential equation.
Correct answer is E.
14.Soru
A textile company is faced with the demand function D(t)=(t+7)2+90 for their product of sweat. If consumers are willing to buy 5 unites of this sweat, what is the total utility of maximum price?
|
13,66 |
|
14,66 |
|
12,66 |
|
11,66 |
|
9,66 |
15.Soru
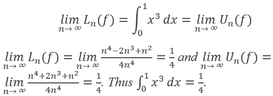
Evaluate the definite integral of the function
on the interval
using the partition
|
|
|
|
|
|
|
|
|
|
16.Soru
What is the indefinite integral of
|
|
|
|
|
|
|
|
|
|
the correct answer is B.
17.Soru
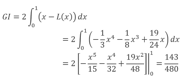
What is the Gini index for the Lorenz function
|
|
|
|
|
|
|
|
|
|
Inserting the Lorenz function into the formula for the Gini index we obtain
Thus, the right answer is E.
18.Soru
The supply curve of a certain product is given by
. What is the producer surplus when 30 units of this product are sold?
|
120 |
|
150 |
|
180 |
|
210 |
|
240 |
The price may be found as
. Using the integral formula for the producer surplus, we obtain:
Therefore the correct answer is the C option.
-
- 1.SORU ÇÖZÜLMEDİ
- 2.SORU ÇÖZÜLMEDİ
- 3.SORU ÇÖZÜLMEDİ
- 4.SORU ÇÖZÜLMEDİ
- 5.SORU ÇÖZÜLMEDİ
- 6.SORU ÇÖZÜLMEDİ
- 7.SORU ÇÖZÜLMEDİ
- 8.SORU ÇÖZÜLMEDİ
- 9.SORU ÇÖZÜLMEDİ
- 10.SORU ÇÖZÜLMEDİ
- 11.SORU ÇÖZÜLMEDİ
- 12.SORU ÇÖZÜLMEDİ
- 13.SORU ÇÖZÜLMEDİ
- 14.SORU ÇÖZÜLMEDİ
- 15.SORU ÇÖZÜLMEDİ
- 16.SORU ÇÖZÜLMEDİ
- 17.SORU ÇÖZÜLMEDİ
- 18.SORU ÇÖZÜLMEDİ