aof.sorular.net
Mathematics 2
Mathematics 2 Deneme Sınavı
Mathematics 2 Deneme Sınavı Sorusu #443857
Mathematics 2 Deneme Sınavı Sorusu #443857
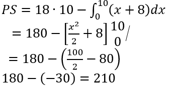
The supply curve of a certain product is given by
what is the producer surplus when 10 units of this product are sold?
|
110 |
|
145 |
|
180 |
|
210 |
|
250 |
Yanıt Açıklaması:
The price may be found as
Correct answer is D
Yorumlar
- 0 Yorum