Mathematics 2 Ara 5. Deneme Sınavı
Toplam 18 Soru1.Soru
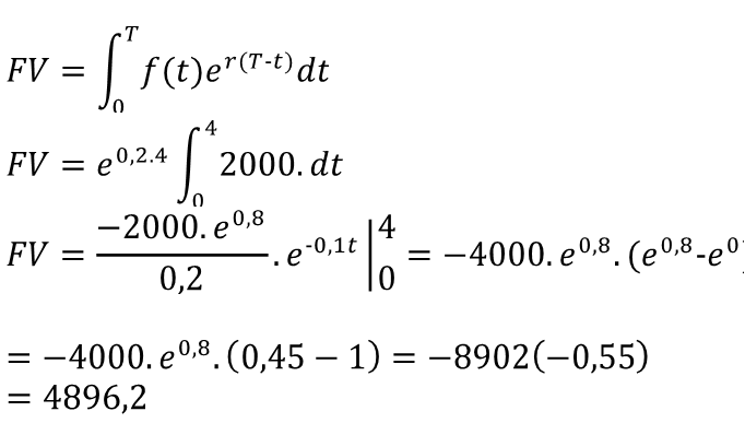
Money transferred continuously into an account at the constant rate of 2000 TL per year. The account earns interest at an annual rate of 10% compounded continuously. How much money will there be in the account at the end of 4 years?
|
200 |
|
4896,2 |
|
17500 |
|
21600,4 |
|
28000 |
f (t) = 2000. The interest rate tells us that r = 0,2 and the time period is T = 4 years, so that the future value of the money is
2.Soru
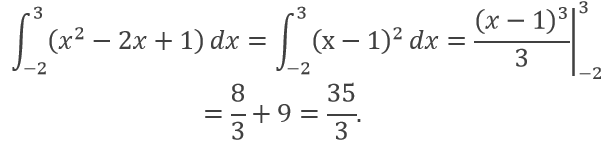
What is the value of the definite integral
|
|
|
|
|
|
|
|
|
|
By the Fundamental Theorem of Calculus we obtain
The right answer is E.
3.Soru
Which of the following is the general solution of the ODE
|
|
|
|
|
|
|
|
|
|
Correct answer is A.
4.Soru
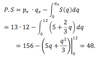
The supply curve of a certain product is given by
what is the producer surplus when 10 units of this product are sold?
|
110 |
|
145 |
|
180 |
|
210 |
|
250 |
The price may be found as
Correct answer is D
6.Soru
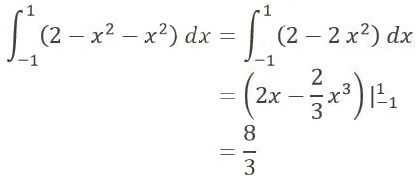
What is the area between the curves y=x2, y=2-x2?
|
|
|
|
|
|
|
|
|
|
The two curves intersect each other at the points x=-1, x=1 since x2=2-x2 => x=-1, x=1. That is, the region is on the interval [-1,1]. Thus, the required area is
7.Soru
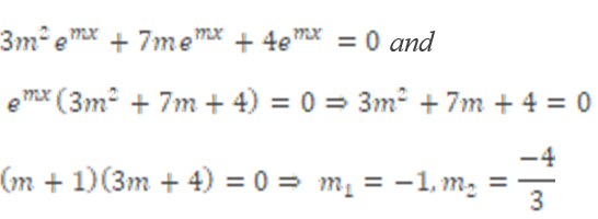
What is the general solution of the differential equation
|
|
|
|
|
|
|
|
|
|
We start from the trial solution
Substituting these results in the ODE gives
So, the general solution is given by
The correct answer is D.
8.Soru
For x≥0, what is the area between the curves
|
1 |
|
2 |
|
4 |
|
8 |
|
16 |
We first need to determine the intersection points of the given curves. To do so, let us equate them:
The points satisfying the last equation are -2, 0, 2. Since there is an extra condition of x≥0, the points
of intersection are 0 and 2. Also, in the interval 0≤x≤2, we have
and therefore the required area A is evaluated as
Therefore the correct answer is the C option.
9.Soru
"Integration is finding the antiderivative of a given function"
According to explanation above, which of the following options indicates integrating the marginal cost function with respect to x?
|
the total cost function |
|
marginal profit |
|
Gini index |
|
marginal revenue |
|
total revenue |
We can find the total cost function C(x) by integrating the marginal cost function with respect to x.
11.Soru
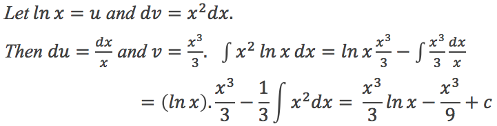
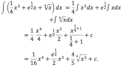
Calculate the area under the graph of
on the interval
|
|
|
|
|
|
|
|
|
|
The required area is
We need to find the antiderivative F such that
One of these functions satisfying
If we invoke the Fundamental Theorem of Calculus
12.Soru
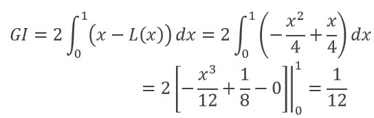
Distribution of income of a country is given by the Lorenz curve
What is the Gini index of this country?
|
|
|
|
|
|
|
|
|
|
By the formula we have
that means the right answer is E.
14.Soru
The supply curve of certain product is given by What is the producer surplus when units of this product are sold?
|
50 |
|
48 |
|
45 |
|
42 |
|
40 |
The price can be found as
Using the integral formula for the producer surplus, we obtain:
15.Soru
If the marginal revenue for selling x units of a product is defined by
What is the total revenue if the sale increases form 15 units to 30 units?
|
1200 |
|
1125 |
|
2250 |
|
3240 |
|
2145 |
The total revenue function can be found by integrating the marginal revenue. Therefore,
We need to calculate
The correct answer is B.
16.Soru
Evaluate the integral
|
0 |
|
-1 |
|
-5 |
|
2 |
|
4 |
the correct answer is A.
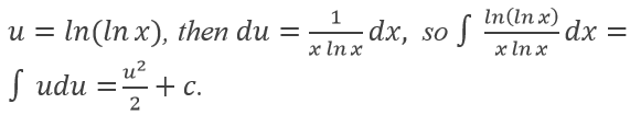
17.Soru
Evaluate the definite integral
|
|
|
|
|
|
|
|
|
|
Let
Turning back to original variable , one of the antiderivative of the function
Therefore the definite integral
18.Soru
Demand function of a commodity is given by p=41-x2 where x and p denote quantity and price, respectively. What is the consumer surplus at the price 5 ?
|
144 |
|
140 |
|
135 |
|
120 |
|
100 |
If we write p0=5 in the demand function, we get that
Since the demand quantity cannot be negative, x=6. Thus, the consumer surplus can be found as:
-
- 1.SORU ÇÖZÜLMEDİ
- 2.SORU ÇÖZÜLMEDİ
- 3.SORU ÇÖZÜLMEDİ
- 4.SORU ÇÖZÜLMEDİ
- 5.SORU ÇÖZÜLMEDİ
- 6.SORU ÇÖZÜLMEDİ
- 7.SORU ÇÖZÜLMEDİ
- 8.SORU ÇÖZÜLMEDİ
- 9.SORU ÇÖZÜLMEDİ
- 10.SORU ÇÖZÜLMEDİ
- 11.SORU ÇÖZÜLMEDİ
- 12.SORU ÇÖZÜLMEDİ
- 13.SORU ÇÖZÜLMEDİ
- 14.SORU ÇÖZÜLMEDİ
- 15.SORU ÇÖZÜLMEDİ
- 16.SORU ÇÖZÜLMEDİ
- 17.SORU ÇÖZÜLMEDİ
- 18.SORU ÇÖZÜLMEDİ