aof.sorular.net
Mathematics 2
Mathematics 2 Deneme Sınavı
Mathematics 2 Deneme Sınavı Sorusu #450918
Mathematics 2 Deneme Sınavı Sorusu #450918
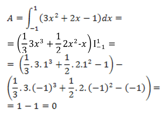
Evaluate the integral
|
0 |
|
-1 |
|
-5 |
|
2 |
|
4 |
Yanıt Açıklaması:
the correct answer is A.
Yorumlar
- 0 Yorum