aof.sorular.net
Mathematics 2
Mathematics 2 Deneme Sınavı
Mathematics 2 Deneme Sınavı Sorusu #370889
Mathematics 2 Deneme Sınavı Sorusu #370889
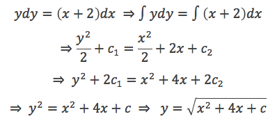
What is the general solution of the differential equation
|
|
|
|
|
|
|
|
|
|
Yanıt Açıklaması:
Applying method of separation of variables, we obtain for y>0
Yorumlar
- 0 Yorum