Mathematics 2 Ara 6. Deneme Sınavı
Toplam 19 Soru1.Soru
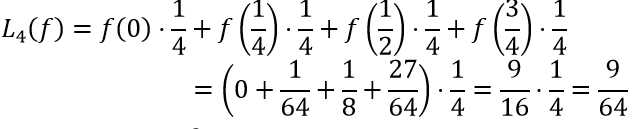
Let
Calculate the lower sum of for the partition
of the interval
.
|
|
|
|
|
|
|
|
|
|
Using the points
let us divide the interval
into four subintervals
and
Since the function f is an increasing function, it takes its smallest values at the left end of each interval. The length of each subinterval is
and
therefore
2.Soru
Consider a town whose population grows at a rate proportional to the present population. If the initial population of 12000 increases by 20% in 12 years, what will be the population after 15 years?
|
15255 |
|
17000 |
|
17550 |
|
19000 |
|
32500 |
We know the initial population P0=12000, and that at t=12 the population is P=12000•1.20. Hence
Therefore, after 20 years,
3.Soru
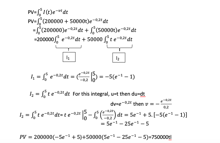
- A company expects its income during the next 5 years to be modelled by the function I(t)=200000+50000t. Assuming an annual inflation rate of 20%, what is the present value of income?
|
500000 |
|
750000 |
|
450000 |
|
800000 |
|
350000 |
4.Soru
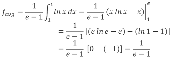
What is the average value of the function
on the interval
|
|
|
|
|
|
|
|
|
|
The average value is evaluated as follows:
Hence the right answer is C.
5.Soru
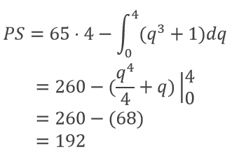
A certain item is supplied according to the rule
and its prices for an amount of
units is 65 TL. Compute the producer surplus for this market.
|
192 |
|
193 |
|
194 |
|
195 |
|
196 |
Let find
Then producer surplus by the integral formula
6.Soru
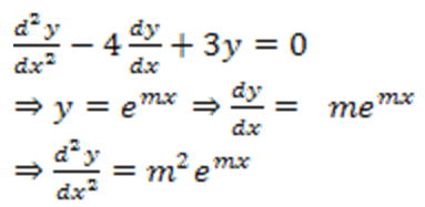
What is the general solution of the differential equation
|
|
|
|
|
|
|
|
|
|
The characteristic equation
The general solution
Correct answer is A.
7.Soru
What is the present value of a continuous income stream at %2 compounded for 4 years if the rate of flow is
|
1000 |
|
2000 |
|
3000 |
|
4000 |
|
5000 |
Using the formula for the present value of money we write
Therefore the correct answer is the D option.
8.Soru
|
|
|
|
|
|
|
|
|
|
In order to calculate this integral, we use the change of variable method. Let
then we get
Returning back to the original variable x, we find that the antiderivative of
Thus the definite integral is
The correct answer is B.
9.Soru
What is the mean value of the function
|
92/5 |
|
46/7 |
|
74/3 |
|
16 |
|
35/8 |
If the average value of a function defined and continuous over the interval
is denoted by
then the average value is calculated by the definite integral
For
integral becomes
Therefore, the correct answer is A.
10.Soru
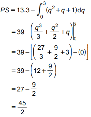
If the marginal profit (in millions of TL per year) is given by,
P'(t)=6t2-t+4, find the total profit earned over the first 4 years.
|
136 |
|
120 |
|
112 |
|
100 |
|
85 |
11.Soru
Which of the following functions is an antiderivative of (x+1)ex?
|
(x+1)ex |
|
xex |
|
x2ex+1 |
|
ex+1 |
|
xex+1 |
Observe that for F(x)=xex the derivative is F'(x)=ex+xex=(x+1)ex. Therefore F(x)=xex is an antiderivative of (x+1)ex.
12.Soru
Which of the following is the value of the integral
|
|
|
|
|
|
|
|
|
|
The antiderivative of the integrand is
The correct answer is A.
13.Soru
What is the general solution of the differential equation
|
|
|
|
|
|
|
|
|
|
Applying method of separation of variables, we obtain for y>0
14.Soru
What is the result of ∫(x+2)ex-8dx?
|
xex-8+c |
|
(x-8)ex-8+c |
|
-8ex-8+c |
|
(x+2)ex-8+c |
|
(x+1)ex-8+c |
Letx-8=y then dy=dx and x=y+8. So we have
We need to use the method of integration by parts to find the first integral above. Let u=y and dv=eydy, then we get du=dy and v=ey. Hence it is obvious that
Therefore, we find
15.Soru
If the supply function of a certain commodity is given by
, what is the producer surplus when the price is 13 TL?
|
20 |
|
|
|
25 |
|
|
|
30 |
We first calculate the quantity when the price is 8TL. Using the supply function, we find
, which gives q = 3. Inserting the given values in the formula
we obtain,
Therefore the correct answer is the B option.
16.Soru
Which of the following is the value of the integral
|
0 |
|
|
|
1 |
|
|
|
2 |
If we make a change of variables as u=x-1, dx=du, we get
Return back to the original variable x, we find that the antiderivative of f is
Thus, the definite integral is
17.Soru
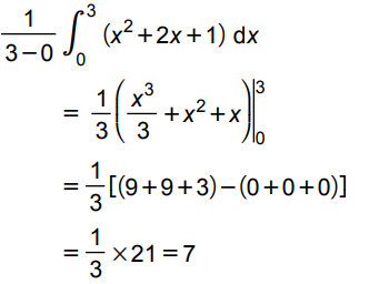
Which of the following is the mean value of the function
between x=0 and x=3?
|
8 |
|
7 |
|
6 |
|
5 |
|
4 |
The average value is easily calculated using the definite integral as follows:
Therefore the correct answer is the B option.
18.Soru
Given that which of the following is f-1(x)?
|
|
|
|
|
|
|
|
|
6-4x |
Let y=4x-6. Then we obtain
It means that
In other words,
19.Soru
Find the value of “a" which satisfies f(a)=13.
|
-3 |
|
-1 |
|
1 |
|
3 |
|
5 |
f(a)=5a-12=13.
5a=25
a=5.
-
- 1.SORU ÇÖZÜLMEDİ
- 2.SORU ÇÖZÜLMEDİ
- 3.SORU ÇÖZÜLMEDİ
- 4.SORU ÇÖZÜLMEDİ
- 5.SORU ÇÖZÜLMEDİ
- 6.SORU ÇÖZÜLMEDİ
- 7.SORU ÇÖZÜLMEDİ
- 8.SORU ÇÖZÜLMEDİ
- 9.SORU ÇÖZÜLMEDİ
- 10.SORU ÇÖZÜLMEDİ
- 11.SORU ÇÖZÜLMEDİ
- 12.SORU ÇÖZÜLMEDİ
- 13.SORU ÇÖZÜLMEDİ
- 14.SORU ÇÖZÜLMEDİ
- 15.SORU ÇÖZÜLMEDİ
- 16.SORU ÇÖZÜLMEDİ
- 17.SORU ÇÖZÜLMEDİ
- 18.SORU ÇÖZÜLMEDİ
- 19.SORU ÇÖZÜLMEDİ