aof.sorular.net
Mathematics 2
Mathematics 2 Deneme Sınavı
Mathematics 2 Deneme Sınavı Sorusu #362253
Mathematics 2 Deneme Sınavı Sorusu #362253
Find the integral
|
|
|
|
|
|
|
|
|
|
Yanıt Açıklaması:
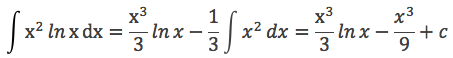
Let u= ln x and x2dx=dv. Then
Therefore, we obtain
Yorumlar
- 0 Yorum