Mathematics 2 Ara 7. Deneme Sınavı
Toplam 20 Soru1.Soru
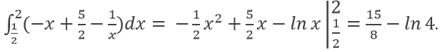
Find the integral
|
|
|
|
|
|
|
|
|
|
Let u= ln x and x2dx=dv. Then
Therefore, we obtain
2.Soru
Given that
is constant function, find the value of f(2017).
|
16 |
|
2 |
|
4 |
|
0 |
|
2017 |
Since f is a constant function a-2=0 and b+2=0. Thus a=2 and b=-2. So the function is f(x)=(2-2)2=0.
3.Soru
Evaluate the indefinite integral
|
(lnx)2+c |
|
(ln(lnx))2+c |
|
lnx2+c |
|
ln(lnx)+c |
|
(ln(lnx2))2+c |
Let u=ln(lnx), then
4.Soru
Which of the following is the general solution of the ODE
|
|
|
|
|
|
|
|
|
|
then the solution is
The correct answer is A.
5.Soru
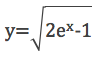
What is the domain of f which is defined by y=f(x) and xy+y=8?
|
|
|
|
|
|
|
(0,1) |
|
(-∞,1) |
Since xy+y=8, we can write
Hence we obtain
The rule is meaningful if x+1⧧0. That is x⧧-1. So the domain of the function is
6.Soru
|
|
|
|
|
1 |
|
2 |
|
4 |
Therefore the correct answer is the D option.
7.Soru
and h(x)=2x2+3.
Which of the following statement corresponds to
|
-x2+9x-8 |
|
-x2-9x+8 |
|
7x2+x-6 |
|
5x2+9x-2 |
|
-x2-9x-8 |
9.Soru
Consider the following ODE subject to an initial condition
subject to an initial condition y(5)=1000, C=?
|
100 |
|
200 |
|
250 |
|
300 |
|
350 |
10.Soru
What is the solution of the initial value problem
with the initial value y(0)=1?
|
|
|
|
|
|
|
|
|
|
Applying method of separation of variables, we obtain
Using initial condition y(0)=1 we have
Hence the solution of IVP is
11.Soru
If the marjinal revenue for selling units of a product is defined by
what is the total revenue if the sale increases from 5 units to 10 units?
|
287,5 |
|
250,4 |
|
235,3 |
|
225,7 |
|
110,1 |
The total revenue can be evaluated by the following formula;
Hence the difference is
Correct answer is A .
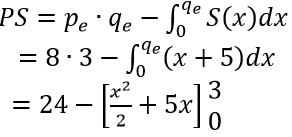
12.Soru
If the supply function of a certain commodity is given by
what is the producer surplus when the price
|
|
|
|
|
|
|
|
|
|
We first calculate the quantity when the price is
Using the supply function, we find
which gives
Inserting the given values the formula.
Correct answer is B
13.Soru
A consumer is willing to pay 150000 for a new certain model of car of which demand function is
If this consumer is able to buy this car for a price 145.500, then what is the consumer surplus?
|
15000 |
|
20000 |
|
25000 |
|
30000 |
|
35000 |
First, we find the point
satisfying
Hence, the consumer surplus is obtained as
Thus, the right answer is D.
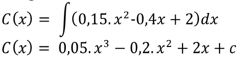
14.Soru
A unit change in the production cost of a computer produced at a number of x units is given by C' (x) =
If the number of computers to be produced increases from 100 to 300, find the increase in the total cost?
|
90000 |
|
92500 |
|
94000 |
|
96000 |
|
96400 |
Firstly, we need to determine the total cost function. This is achieved by integration as
Now, the cost of producing 100 units is
When the production increases to 300 units we get
To find the increase of the cost, we calculate the difference which gives
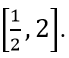
15.Soru
What is the area of the plane region bounded by the graphs of
on the interval
|
|
|
|
|
|
|
|
|
|
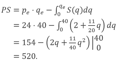
16.Soru
The supply curve of a certain product is given by
What is the producer surplus when 40 units of this product are sold?
|
520 |
|
525 |
|
510 |
|
515 |
|
530 |
The price may be found as
So producer surplus is
17.Soru
A radioactive isotope has a half-life of 4 days. You wish to have 10g at the end of 16 days. How much radioisotope should you start with? Round your answer to 1 decimal place.
|
25 |
|
25,2 |
|
27 |
|
27,2 |
|
29 |
According to the statement of the problem we wish to have a mass of 10g after 16 days, i.e. at t=16 M=10
18.Soru
What is the solution to the integral
|
|
|
|
|
|
|
|
|
|
Observe that
To use the integration by parts method, let u=7x+6 and dv=e-2xdx. Then we have du=7dx and
Inserting above equalities into ∫udv=uv-∫vdu we get;
where c is an arbitrary real number.
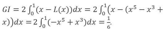
19.Soru
Calculate the Gini index for the Lorenz function
|
1/4 |
|
1/5 |
|
1/6 |
|
1/7 |
|
1/8 |
20.Soru
What is the solution of the initial value problem
|
|
|
|
|
|
|
|
|
|
then
Since,
and the solution is
The correct answer is C.
-
- 1.SORU ÇÖZÜLMEDİ
- 2.SORU ÇÖZÜLMEDİ
- 3.SORU ÇÖZÜLMEDİ
- 4.SORU ÇÖZÜLMEDİ
- 5.SORU ÇÖZÜLMEDİ
- 6.SORU ÇÖZÜLMEDİ
- 7.SORU ÇÖZÜLMEDİ
- 8.SORU ÇÖZÜLMEDİ
- 9.SORU ÇÖZÜLMEDİ
- 10.SORU ÇÖZÜLMEDİ
- 11.SORU ÇÖZÜLMEDİ
- 12.SORU ÇÖZÜLMEDİ
- 13.SORU ÇÖZÜLMEDİ
- 14.SORU ÇÖZÜLMEDİ
- 15.SORU ÇÖZÜLMEDİ
- 16.SORU ÇÖZÜLMEDİ
- 17.SORU ÇÖZÜLMEDİ
- 18.SORU ÇÖZÜLMEDİ
- 19.SORU ÇÖZÜLMEDİ
- 20.SORU ÇÖZÜLMEDİ