aof.sorular.net
Mathematics 2
Mathematics 2 Deneme Sınavı
Mathematics 2 Deneme Sınavı Sorusu #483094
Mathematics 2 Deneme Sınavı Sorusu #483094
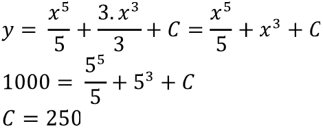
Consider the following ODE subject to an initial condition
subject to an initial condition y(5)=1000, C=?
|
100 |
|
200 |
|
250 |
|
300 |
|
350 |
Yanıt Açıklaması:
Yorumlar
- 0 Yorum