aof.sorular.net
Mathematics 2
Mathematics 2 Deneme Sınavı
Mathematics 2 Deneme Sınavı Sorusu #450913
Mathematics 2 Deneme Sınavı Sorusu #450913
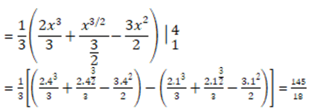
Which of the following is the mean value of the function
between
|
|
|
|
|
|
|
|
|
|
Yanıt Açıklaması:
The average value is calculated by using the definite integral as follows:
The correct answer is D.
Yorumlar
- 0 Yorum