Mathematics 2 Final 15. Deneme Sınavı
Toplam 18 Soru1.Soru
Which of the following is the maximum value of
subject to the conditions
|
41 |
|
40 |
|
39 |
|
35 |
|
34 |
Define the corner points. From
The corner points are:
The values of f at these points are : 0, 36, 39, 35. The greatest value is 39.
The correct answer is C.
2.Soru
Which of the following is the determinant of the coefficient matrix of the system of linear equations
|
-21 |
|
9 |
|
-11 |
|
18 |
|
15 |
The coefficient matrix of the given system of linear equations is
We find the determinant of the coefficient matrix using Sarrus’ rule:
and we find
3.Soru
Which of the following is the mean value of the function
between
|
|
|
|
|
|
|
|
|
|
The average value is calculated by using the definite integral as follows:
The correct answer is D.
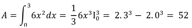
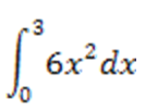
4.Soru
Evaluate the integral
|
14 |
|
24 |
|
34 |
|
44 |
|
52 |
the correct answer is E.
5.Soru
Given the matrix game
which of the following is the equilibrium pair ?
|
(3 rd row, 1 st column) |
|
(3 rd row, 2nd column) |
|
(3 nd row, 1 rd column) |
|
(3 nd row, 1 th column) |
|
(2 st row, 3 st column) |
Maximum
This common value corresponds to the 2 nd row and 3 rd column.
6.Soru
Suppose
What is the product of row 1 of A and column 4 of B?
|
21 |
|
22 |
|
23 |
|
24 |
|
25 |
7.Soru
Which of the following equations has the particular solution
|
|
|
|
|
|
|
|
|
|
Substituting
into the suggested equations, we find that the only equation that is satisfied is D. Indeed
The correct answer is D.
8.Soru
If
what is the matrix
|
|
|
|
|
|
|
|
|
|
We can calculate the matrices
as follows:
Then
9.Soru
Suppose that a company manufactures a certain type of machine, and it estimates that each machine will generate a continuous income stream whose rate in the th year of operation will be 15 − 2t million TL per year. Assuming that the lifetime of a machine is about 7 years and that the money can be invested at the annual rate of 8%, compounded continuously, find the fair market price of each machine.
|
42,363 |
|
43,363 |
|
44,363 |
|
45,363 |
|
46,363 |
In this situation it is reasonable to assume that the fair market price of each machine is the present value of the continuous income stream with
Using formula of present value of a continuous income stream we find that this price is
10.Soru
In a meeting with 10 attendence some handshakes took place. The vertices in the following graph represent the people in the room, while connecting edges represent the handshakes that take place. How many handshake occur in this meeting?
|
10 |
|
12 |
|
13 |
|
14 |
|
15 |
Since the edges in the graph represent the handshake, the number of occurred handshakes is equal to the number of edges in the given graph. So the number of handshakes occurred in the meeting is 14.
11.Soru
Given the matrix game
which of the following is the equilibrium pair ?
|
(3 rd row, 1 st column) |
|
(3 rd row, 2nd column) |
|
(3 nd row, 1 rd column) |
|
(3 nd row, 1 th column) |
|
(3 st row, 1 st column) |
This common value corresponds to the 2 nd row and 3 rd column.
12.Soru
Kuvvet fonksiyonu ile şifrelemede
ise deşifre fonksiyonu aşağıdakilerden hangisidir?
|
|
|
|
|
|
|
|
|
|
şifre fonksiyonunun deşifre fonksiyonu
şeklindedir. Burada
sayısı,
koşulunu sağlayan bir tamsayıdır. O halde
denkliğinden
elde edilir. Böylece deşifre fonksiyonu
olur. Doğru cevap A’dır.
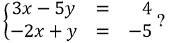
13.Soru
Which of the following is the solution of the system of linear equations
|
|
|
|
|
|
|
|
|
|
The coefficient matrix of the system of linear equations is
and the detreminant of this matrix is
The other matrices we use in the Cramer’s rule are
and their determinats are
Then the solution is
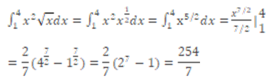
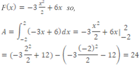
15.Soru
What is the area between the
-axis and the graph of the function
over the interval
|
12 |
|
24 |
|
30 |
|
40 |
|
48 |
on the interval
so the area A can be calculated by the definite integral
The antiderivative of
The correct answer is B.
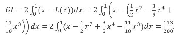
16.Soru
Calculate the Gini index for the Lorenz function
|
|
|
|
|
|
|
|
|
|
17.Soru
Which of the following is false for zero sum matrix games?
|
Player I chooses a row |
|
Player II chooses a column |
|
The lower value is less than or equal to the upper value |
|
Player II minimizes the matrix elements |
|
Every matrix game has an equilibrium pair |
A)-D) are true for any matrix game, E) is not true.
18.Soru
Solve the following system of linear equations
|
|
|
|
|
|
|
|
|
|
Cramer’s rule is used a system of linear equations with a nonsingular coefficient matrix
The solution of this system of linear equations is
Correct answer is A
-
- 1.SORU ÇÖZÜLMEDİ
- 2.SORU ÇÖZÜLMEDİ
- 3.SORU ÇÖZÜLMEDİ
- 4.SORU ÇÖZÜLMEDİ
- 5.SORU ÇÖZÜLMEDİ
- 6.SORU ÇÖZÜLMEDİ
- 7.SORU ÇÖZÜLMEDİ
- 8.SORU ÇÖZÜLMEDİ
- 9.SORU ÇÖZÜLMEDİ
- 10.SORU ÇÖZÜLMEDİ
- 11.SORU ÇÖZÜLMEDİ
- 12.SORU ÇÖZÜLMEDİ
- 13.SORU ÇÖZÜLMEDİ
- 14.SORU ÇÖZÜLMEDİ
- 15.SORU ÇÖZÜLMEDİ
- 16.SORU ÇÖZÜLMEDİ
- 17.SORU ÇÖZÜLMEDİ
- 18.SORU ÇÖZÜLMEDİ