aof.sorular.net
Mathematics 2
Mathematics 2 Deneme Sınavı
Mathematics 2 Deneme Sınavı Sorusu #375431
Mathematics 2 Deneme Sınavı Sorusu #375431
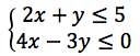
Which of the following systems of inequalities do not determine a region admitting the point
as a corner point?
|
|
|
|
|
|
|
|
|
|
Yanıt Açıklaması:
We should evaluate the intersection point of corresponding lines for each choice. One can see easily that all four systems of inequalities determine regions all of which have the corner point
except the choice C. The system of equations corresponding to the system given in C
has the intersection point at
Yorumlar
- 0 Yorum