Mathematics 2 Final 2. Deneme Sınavı
Toplam 17 Soru1.Soru
What is the weight of the given graph?
|
24 |
|
26 |
|
27 |
|
28 |
|
29 |
When you some up the weights of the edges 6+2+3+5+4+3+2+1=26. Answer is B.
2.Soru
If
is a matrix of type of
and
is a matrix of type of
then what is the type of the product matrix
|
|
|
|
|
|
|
|
|
does not exist. |
If
is a matrix of type of
and
is a matrix of type of
then the type of the product matrix
3.Soru
Which of the following equations has the particular solution
|
|
|
|
|
|
|
|
|
|
Substituting
into suggested equations, we find that the only equation that is satisfied is (B).
The correct answer is B.
4.Soru
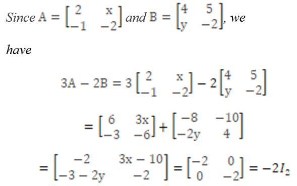
Let
If A and B satisfies
what are the values of x and y?
|
|
|
|
|
|
|
|
|
|
If two matrices are equal then their components must be equal. From this we see that
and
So the correct answer is A.
5.Soru
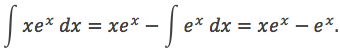
What is the result of
|
|
|
|
|
|
|
|
|
|
We’ll use the method of integration by parts to find this integral. Let u=x3 and exdx=dv then du=3x2dx and ex=v. Thus we have
We need again method of integration by parts to evaluate ∫x2exdx. Let u=x2 and dv=exdx which means du=2xdx and v=ex. Hence
and similarly we have
Thus, we obtain
and finally we get
6.Soru
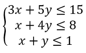
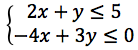
Given the system of linear inequalities
which of the following points belongs to the corner point of the constraint set?
|
(1, 5) |
|
(3, -2) |
|
(1, -5) |
|
(3, 3) |
|
(4, -2) |
We need to substitute each and every point into the inequalities. Observe that for the point (1, 5) if we insert this point into first inequality we see that
is not true. For the point (1, -5) if we insert this point into the second inequality we see that
is not true. For the point (3, 3) if we insert this point into the first inequality we see that
is not true. For the point (4, -2) if we insert this point into the second inequality we see that
is not true. The point (3, -2) satisfies all there inequalities because
Hence the correct answer is B.
7.Soru
Given the matrix game
which of the following is the equilirium pair?
|
(1 st row, 1 st column) |
|
(1 st row, 2 nd column) |
|
(1 st row, 3 rd column) |
|
(1 nd row, 3 rd column) |
|
(2 nd row, 2 nd column) |
For each row write the lowest element to the right and for each column write the greatest element below the matrix
Maximum
There exists an equilibrium pair ( 2 nd row 2 nd column) the number 1 , which lies in the intersection of 2 st row, 2 st column is the lowest in the 2 st row, is the greatest in the 2 st column.
Correct answer is E .
8.Soru
Which of the following goal functions yields the value 220 at the point (11,8)?
|
|
|
|
|
|
|
|
|
|
For the goal function
The correct answer is B.
9.Soru
Kuvvet fonksiyonu ile şifrelemede
sayısının şifrelenmişi aşağıdakilerden hangisidir?
|
9 |
|
8 |
|
7 |
|
6 |
|
5 |
Kuvvet fonksiyonu ile şifrelemede gönderici
sayısını şifreleyip göndermek için
sayısı olan
hesaplar. Buna göre
olduğundan doğru cevap E’dir.
10.Soru
Given the constraint set
which of the following points belongs to the constraint set?
|
(2,2) |
|
(3,2) |
|
(2,3) |
|
(4,1) |
|
(0,4) |
Only the point (2,2) satisfies all the given inequalities:
The correct answer is A
11.Soru
Let G be a graph on 5 vertices with degrees 3, 1, 2, 4, 2. What is the number of edges of G?
|
2 |
|
3 |
|
4 |
|
5 |
|
6 |
In any graph, the sum of all the degrees is equal to twice the number of edges, we have 3+1+4+2+2=12=2|E|, which gives |E|=6. The correct answer is E.
12.Soru
What is type of the matrix
|
|
|
|
|
|
|
|
|
|
The matrix
consists of four rows and two columns.
Correct answer is E .
13.Soru
what is the minimax strategy of player II ?
|
5 th column |
|
4 th column |
|
3 rd column |
|
1 st column |
|
2 nd column |
Minimum
The number 0 corresponds to the 2 nd column.
Correct answer is E.
14.Soru
Determine the point in the intersection of the solution sets of the inequalities below:
|
(-5,3) |
|
(5,-3) |
|
(7,2) |
|
(-4,4) |
|
(0,2) |
The point (-5,3) do the job.
15.Soru
Which of the following is the solution of the system of linear equations
|
|
|
|
|
|
|
|
|
|
The coefficient matrix of the system of linear equations is
and the detreminant of this matrix is
The other matrices we use in the Cramer’s rule are
and their determinats are
Then the solution is
16.Soru
|
|
|
|
|
|
|
|
|
|
Therefore the correct answer is the B option.
17.Soru
Which of the following systems of inequalities do not determine a region admitting the point
as a corner point?
|
|
|
|
|
|
|
|
|
|
We should evaluate the intersection point of corresponding lines for each choice. One can see easily that all four systems of inequalities determine regions all of which have the corner point
except the choice C. The system of equations corresponding to the system given in C
has the intersection point at