aof.sorular.net
Mathematics 2
Mathematics 2 Deneme Sınavı
Mathematics 2 Deneme Sınavı Sorusu #375396
Mathematics 2 Deneme Sınavı Sorusu #375396
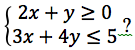
Which of the following points is a solution of the system of inequalities
|
(2,0) |
|
(0,2) |
|
(-1,3) |
|
(1,0) |
|
(-1,0) |
Yanıt Açıklaması:
When we check each point:
(it does not satisfy the second inequality)
(it does not satisfy the second inequality)
(it does not satisfy the second inequality)
(it satisfies both of the inequalities)
(it does not satisfy the first inequality)
Yorumlar
- 0 Yorum