Mathematics 2 Final 3. Deneme Sınavı
Toplam 19 Soru1.Soru
Which of the following goal functions attains the value 122 at the point (4,5)?
|
|
|
|
|
|
|
|
|
|
When we calculate the image of (4,5) under given goal functions we have:
2.Soru
Consider the bi matrix game
Which of the following is the Nash equilibrium pair?
|
1 st row , 3 rd column |
|
1 st row , 2 nd column |
|
2 nd row , 3 rd column |
|
2 nd row , 2 nd column |
|
3 rd row , 2 nd column |
Consider the pair (7,3) The fist component 7 is the greatest among the first components in the 3 rd column .
The second component is also the greats among the second components in the 2 nd row. Therefore the pair (7,3).
Correct answer is C
3.Soru
Consider the bimatrix game
Which of the following is the Nash equilibrium pair?
|
(2nd row, 3rd column) |
|
(1st row, 2nd column) |
|
(1st row, 1st column) |
|
(3rd row, 2nd column) |
|
(2nd row, 2nd column) |
Consider the pair (3, 2). The first component 3 is the greatest among the first components in the 2nd column. The second component 2 is also the greatest among the second components in the 2nd row. Therefore, the corresponding pair, i.e. (2nd row, 2nd column) is an equilibrium pair. Answer is E.
4.Soru
What is the greatest degree in the following graph?
|
2 |
|
3 |
|
4 |
|
5 |
|
6 |
The degree of a vertex in a graph is the number of edges incident with that vertex.The greatest degree in the given graph is 4.
5.Soru
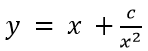
Solve the differential equation
|
|
|
|
|
|
|
|
|
|
Rewriting the differential equation in the standard form
we have
so
To solve the equation
we first compute the integrating factor
On multiplying the equation
by
we obtain
and therefore
where c is an arbitrary constant. It follows that
is the general solution of differential equation.
6.Soru
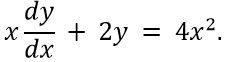
Consider the following system of equations:
How can the system of equations above be expressed as a matrix equation?
|
|
|
|
|
|
|
|
|
|
Hence the system of linear equations above can now be expressed as a single matrix equation
that is
7.Soru
what is the minimax strategy of player II ?
|
5 th column |
|
4 th column |
|
3 rd column |
|
1 st column |
|
2 nd column |
The number 0 corresponds to the 2 nd column.
Correct answer is E.
8.Soru
be given. If (3)=11, find the value of m.
|
2 |
|
4 |
|
6 |
|
8 |
|
10 |
9.Soru
What is the upper value of the matrix game given by
|
1 |
|
2 |
|
3 |
|
4 |
|
5 |
Correct answer is A.
10.Soru
What is the guaranteed value for Player I in the matrix game
if Player I chose 2 nd row ?
|
0 |
|
2 |
|
3 |
|
5 |
|
8 |
If the first player chooses 2 nd row, the guaranteed value for him is the minimal element of this row. Minimum
Correct answer is A.
11.Soru
olmak üzere kuvvet fonksiyonu ile şifrelenmişi 5 olan
sayısı aşağıdakilerden hangisidir?
|
6 |
|
7 |
|
8 |
|
9 |
|
10 |
Doğru cevap C’dir.
12.Soru
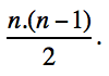
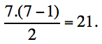
What is the number of edges in the comlete graph K7 ?
|
15 |
|
17 |
|
21 |
|
45 |
|
50 |
The number of edges in the complete graph Kn is given by the formula
So the number of edges in the complete graph K7 is
13.Soru
Consider the bi matrix game
Which of the following is the Nash equilibrium pair?
|
1 st row , 3 rd column |
|
1 st row , 2 nd column |
|
2 nd row , 3 rd column |
|
2 nd row , 2 nd column |
|
3 rd row , 2 nd column |
Consider the pair (7,3) The fist component 7 is the greatest among the first components in the 3 rd column . The second component is also the greats among the second components in the 2 nd row. Therefore the pair. Correct answer is C.
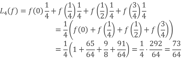
14.Soru
If
is defined as
then what is the value of
for the partition
|
|
|
|
|
|
|
|
|
|
We consider the subintervals
and
to evaluate
.
By definition we obtain
Hence the right answer is E.
15.Soru
Given the system of inequalities
which of the following points is a corner point of constraint set?
|
(-6,0) |
|
(5,0) |
|
(-2,3) |
|
(-2,4) |
|
(0,2) |
We will evaluate the intersection of the equations
When we add them we get 3y=9 and y=3. For y=3 by the first equation we get x+6=4 that gives x=-2. Hence the corner point is (-2,3)
16.Soru
Determine the region described by the inequality
|
|
|
|
|
|
|
|
|
|
Intersection points of the line
and coordinate axes are the pointsand coordinate axes are the points (6,0) and (0,9). Since
point (0,0) satisfy
Hence, all points in the region which contains (0,0) are the solution of the inequality. Thus, required region is
17.Soru
Which of the following points is a solution of the system of inequalities
|
(2,0) |
|
(0,2) |
|
(-1,3) |
|
(1,0) |
|
(-1,0) |
When we check each point:
(it does not satisfy the second inequality)
(it does not satisfy the second inequality)
(it does not satisfy the second inequality)
(it satisfies both of the inequalities)
(it does not satisfy the first inequality)
18.Soru
Which one is an Eulerian walk in the following graph?
|
e→d→b→c→a |
|
d→b→c→d→a→e |
|
a→e→d→c→e→b |
|
e→d→c→a→d→b→c |
|
b→d→a→e→d→a→c→b |
An Eulerian walk is a walk that goes through every edge exactly once (the walk may or may not be closed). Since the walk e→d→c→a→d→b→c goes through every edge exactly once, it is an Eulerian walk. The correct answer is D.
19.Soru
What is the solution of the system of equations
|
(-1,2) |
|
(-1,3) |
|
(1,-2) |
|
(1,-3) |
|
(1,2) |
Multiplying both sides of the first equation by -4 and adding to the second one we obtain
Hence the solution is the point (-1,2)
-
- 1.SORU ÇÖZÜLMEDİ
- 2.SORU ÇÖZÜLMEDİ
- 3.SORU ÇÖZÜLMEDİ
- 4.SORU ÇÖZÜLMEDİ
- 5.SORU ÇÖZÜLMEDİ
- 6.SORU ÇÖZÜLMEDİ
- 7.SORU ÇÖZÜLMEDİ
- 8.SORU ÇÖZÜLMEDİ
- 9.SORU ÇÖZÜLMEDİ
- 10.SORU ÇÖZÜLMEDİ
- 11.SORU ÇÖZÜLMEDİ
- 12.SORU ÇÖZÜLMEDİ
- 13.SORU ÇÖZÜLMEDİ
- 14.SORU ÇÖZÜLMEDİ
- 15.SORU ÇÖZÜLMEDİ
- 16.SORU ÇÖZÜLMEDİ
- 17.SORU ÇÖZÜLMEDİ
- 18.SORU ÇÖZÜLMEDİ
- 19.SORU ÇÖZÜLMEDİ