aof.sorular.net
Mathematics 2
Mathematics 2 Deneme Sınavı
Mathematics 2 Deneme Sınavı Sorusu #375644
Mathematics 2 Deneme Sınavı Sorusu #375644
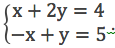
Given the system of inequalities
which of the following points is a corner point of constraint set?
|
(-6,0) |
|
(5,0) |
|
(-2,3) |
|
(-2,4) |
|
(0,2) |
Yanıt Açıklaması:
We will evaluate the intersection of the equations
When we add them we get 3y=9 and y=3. For y=3 by the first equation we get x+6=4 that gives x=-2. Hence the corner point is (-2,3)
Yorumlar
- 0 Yorum