aof.sorular.net
Mathematics 2
Mathematics 2 Deneme Sınavı
Mathematics 2 Deneme Sınavı Sorusu #487231
Mathematics 2 Deneme Sınavı Sorusu #487231
Given the system of linear inequalities
Which of the following points is corner points is point of the constraint set?
|
|
|
|
|
|
|
|
|
|
Yanıt Açıklaması:
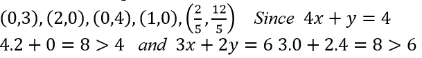
Multiply the second equation by -2 and add to first equation
The intersection points are
The points (2,0) and (0,4) do not belong to the constrained set. The corner points of the constraint set are
Correct answer is C
Yorumlar
- 0 Yorum