Mathematics 2 Final 4. Deneme Sınavı
Toplam 20 Soru1.Soru
A famous shoe company will launch a new shoes model. The production rate of the new model, after weeks, is given by the function
where x denotes the quantity of shoes produced. How many shoes will be produced from the beginning of the first week to the end of the third week?
|
1000 |
|
1200 |
|
1440 |
|
1530 |
|
2300 |
The only thing we need to do in this question is to calculate the integral of the production rate over the interval 1≤t≤3. So,
2.Soru
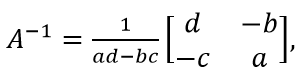
What is the inverse of the matrix
|
|
|
|
|
|
|
|
|
|
The inverse of the
matrix
can be found with the formula
For
the inverse of the matrix becomes
Hence the correct answer is B.
4.Soru
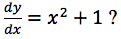
Which of the followings is a solution of the differential equation
|
|
|
|
|
|
|
|
|
|
Since dy=(x2+1)dx by integrating we have
Hence,
is a solution of given equation.
5.Soru
Which of the following is the maximum value of
subject to the conditions
|
15 |
|
-6 |
|
-30 |
|
30 |
|
6 |
We need to solve the equations two at a time. Observe that
For the point (0, -2) if we insert this point into fourth inequality we see that
is not true. Also for the point (6, 0) if we insert this point into the first inequality we see that
is not true. Therefore the points (0, -2) and (6, 0) do not belong the constraint set. The corner points for the constraint set are (0, 3), (3, 0), (0, 0) and (30/7, 6/7). Now, to find the maximum value we need to substitute each corner point to the goal function. Observe that for the point (0, 0) we have
maximum point is 15 and the correct option is A.
6.Soru
Given the system of linear inequalities
Which of the following points is corner points is point of the constraint set?
|
|
|
|
|
|
|
|
|
|
Multiply the second equation by -2 and add to first equation
The intersection points are
The points (2,0) and (0,4) do not belong to the constrained set. The corner points of the constraint set are
Correct answer is C
7.Soru
What is the determinant of the coefficient matrix of the linear system below?
|
-14 |
|
-6 |
|
0 |
|
6 |
|
14 |
The coefficient matrix of the given linear system is
The determinant of this matrix is
Hence the correct answer is E.
8.Soru
Which of the following goal functions yields the value 120 at (10, 4)?
|
f = 10x + 5y |
|
f = 10x + 11y |
|
f = 8x + 14y |
|
f = 12x + 6y |
|
f = 7x + 9y |
For the point (10, 4),
F = 10x + 5y = 10.10 + 5.4 = 120
9.Soru
Which of the following is the point of intersection of the lines given by
|
(3,4) |
|
(1,1) |
|
(2,1) |
|
(5,2) |
|
(6,3) |
Multiply both sides of the second equation by -5 and add to the first equation
Correct answer is E .
10.Soru
The corner points of the constraint set of the goal function f are (0, 0), (5, 0), (0, -2) and (3, -2). Which of the following is the maximum value of the function
|
0 |
|
-2 |
|
14 |
|
20 |
|
-14 |
To find the maximum value we need to substitute each corner point to the goal function. Observe that for the point (0, 0) we have
for the point (5, 0) we have
for the point (0, -2) we have
for the point (3, -2) we have
Hence the maximum point is 20 and the correct option is D.
11.Soru
How many different trees are there with 4 edges?
|
3 |
|
4 |
|
16 |
|
32 |
|
64 |
A tree is a graph which is connected and contains no cycles. Every tree on n vertices has exactly n-1 edges and the number of labelled trees on n vertices is
by Cayley’s theorem. Now if we write n=4, we get 4^2=16. The correct answer is C.
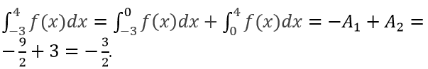
12.Soru
The graph of the function
is given below. Evaluate the value of the integral
|
|
|
|
|
|
|
|
|
|
13.Soru
Which of the following is the inverse of the matrix
|
|
|
|
|
|
|
|
|
|
Since the inverse of a matrix
the inverse of
14.Soru
How should and be chosen so that the lines
intersect at the point
?
|
|
|
|
|
|
|
|
|
|
Because the intersection point of these lines is
the point
must also provide both of the equations. Hence we obtain
Then one gets
15.Soru
Determine the inequality of region described below.
|
|
|
|
|
|
|
|
|
|
Equation of the line that passes through
Given region is the solution set of the inequality
16.Soru
What is the present value of a continuous income stream at
compounded for 15 years if the rate of flow is
|
|
|
|
|
|
|
|
|
|
Using the formula for the present value of money we write
Correct answer is C
17.Soru
Find the determinant matrix of A?
|
6 |
|
9 |
|
11 |
|
13 |
|
16 |
18.Soru
Which of the following is the inverse of the matrix
|
|
|
|
|
|
|
|
|
|
Since the inverse of a matrix
is
the inverse of
is
19.Soru
Deşifre fonksiyonu
olan doğrusal şifreleme fonksiyonu aşağıdakilerden hangisidir?
|
|
|
|
|
|
|
|
|
|
doğrusal şifreleme fonksiyonunun deşifre fonksiyonu
şeklindedir. Burada
olacak şekildeki bir sayıdır
O halde
olması gerekir. Buradan doğru cevap B’dir.
20.Soru
There are 8 teams in a football league and second week is completed in this leauge. The following graph represents the current situation of the league.
Which of the following statements is not true with respect to the given graph?
|
There isn’t any postponed game in past two weeks. |
|
Team “ɑ” played with the team “b”. |
|
Team “f” played with the team “b”. |
|
Team “c” played with the team “d”. |
|
Team “f” played with the team “g”. |
Even though the second week comleted in the league. The team “e” has played only one game. So one of the team “a” game is postponed. Actually the game between “e” and “h” is postponed.
-
- 1.SORU ÇÖZÜLMEDİ
- 2.SORU ÇÖZÜLMEDİ
- 3.SORU ÇÖZÜLMEDİ
- 4.SORU ÇÖZÜLMEDİ
- 5.SORU ÇÖZÜLMEDİ
- 6.SORU ÇÖZÜLMEDİ
- 7.SORU ÇÖZÜLMEDİ
- 8.SORU ÇÖZÜLMEDİ
- 9.SORU ÇÖZÜLMEDİ
- 10.SORU ÇÖZÜLMEDİ
- 11.SORU ÇÖZÜLMEDİ
- 12.SORU ÇÖZÜLMEDİ
- 13.SORU ÇÖZÜLMEDİ
- 14.SORU ÇÖZÜLMEDİ
- 15.SORU ÇÖZÜLMEDİ
- 16.SORU ÇÖZÜLMEDİ
- 17.SORU ÇÖZÜLMEDİ
- 18.SORU ÇÖZÜLMEDİ
- 19.SORU ÇÖZÜLMEDİ
- 20.SORU ÇÖZÜLMEDİ