aof.sorular.net
Mathematics 2
Mathematics 2 Deneme Sınavı
Mathematics 2 Deneme Sınavı Sorusu #472267
Mathematics 2 Deneme Sınavı Sorusu #472267
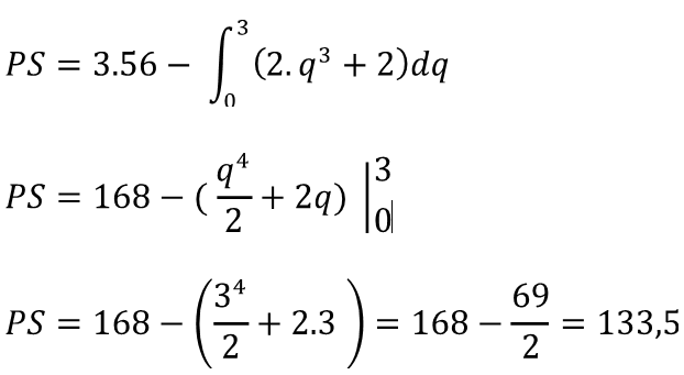
A certain item is supplied according to the rule
and its prices for an amount of q0 units is 56TL. Compute the producer surplus for this market?
|
110 |
|
120 |
|
133,5 |
|
144 |
|
152,4 |
Yanıt Açıklaması:
First, we must find q0:
Yorumlar
- 0 Yorum