Mathematics 2 Final 5. Deneme Sınavı
Toplam 19 Soru1.Soru
Which of the following points belongs to the set specified by the inequality
|
(6,9) |
|
(4,6) |
|
(4,5) |
|
(5,5) |
|
(3,8) |
The point (6,9) satisfies the inequality
Correct answer is A
2.Soru
I. The optimal value of a linear goal function over polygone is attained at a corner point.
II. The optimal value of a linear goal function over polygone is attained at an inner point.
III. Any system of linear equations defines a polygone in the plane.
Which of the above statements are true?
|
I-III |
|
II |
|
I |
|
II, III |
|
I, II |
Only I is true , II and III are false.
The correct answer is C.
3.Soru
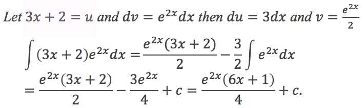
What is the general solution of the linear differential equation
|
|
|
y=ex+c |
|
|
|
|
|
|
4.Soru
Which of the following linear system has the solution
|
|
|
|
|
|
|
|
|
|
The pair
satisfies only the equations
while this pair does not satisfy the equations of the remaining systems simultaneously.
Correct answer is E .
5.Soru
A function f is given by the rule f(2x+5)=x3 for all real numbers x. Which of the following is f(13)?
|
128 |
|
8 |
|
31 |
|
16 |
|
64 |
2x+5=13 ⇒ 2x=8⇒ x=4.
6.Soru
What is the guaranteed value for Player II in the matrix game
if Player II chooses 3rd column?
|
-13 |
|
-8 |
|
-7 |
|
2 |
|
10 |
If the Player II chooses the 3rd column, the guaranteed value for him will be the maximal element among {2, -8, -2, 0, -7} which is 2. The correct answer is D.
7.Soru
What is the guaranteed value for Player II in the matrix game
if Player II chooses 3rd column?
|
-3 |
|
-2 |
|
3 |
|
5 |
|
6 |
If player II chooses 3rd column he guarantees lost 6, which is maximal among {3, -2, 6}. Hence the correct answer is E.
8.Soru
Which of the following is the upper value of the game below?
|
2 |
|
3 |
|
4 |
|
5 |
|
6 |
The lower value is the guaranteed result for Player I, the upper value is the guaranteed result for Player II. Player II, by choosing a column, minimizes the obtained element. Considering this, player needs to analyze each column to find the upper value on each column and then choosing the minimum among those numbers will give him the result. Each column has the upper value 5 and 6 respectively. So min {5,6}=5 is obtained hence the correct answer is D.
9.Soru
If
what is the matrix
|
|
|
|
|
|
|
|
|
|
We can calculate the matrices
and as follows:
10.Soru
A certain item is supplied according to the rule
and its prices for an amount of q0 units is 56TL. Compute the producer surplus for this market?
|
110 |
|
120 |
|
133,5 |
|
144 |
|
152,4 |
First, we must find q0:
11.Soru
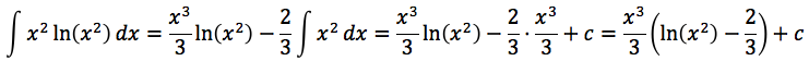
What is the result of ∫x2ln(x2)dx?
|
|
|
|
|
|
|
|
|
|
We use method of integration by parts by taking u=ln(x2) and dv=x2dx. Then we have
and
Hence we get
12.Soru
What is the inverse of the matrix
|
|
|
|
|
|
|
|
|
|
Hence, the inverse matrix of is evaluated as
13.Soru
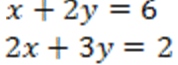
Which of the following is true about the graphical interpretation of the system of linear equations
|
Two lines intersect at the point |
|
Two lines are parallel. |
|
Two lines are identical. |
|
Two lines intersect at the point |
|
Two lines intersect at the point |
We multiply the second equation by 2, then the linear equations become
Now we add the equations to eliminate the term
then one gets
If we back-subsitute
into the equations
we obtain
Then these lines intersect at the point
14.Soru
|
|
|
|
|
|
|
|
|
|
We solve this integral by using integration by parts.
15.Soru
|
|
|
|
|
|
|
|
|
|
By applying change of variable w2=x then 2wdw=dx we have
If we turn to the solution of the question 6, we clearly see that
Hence we obtain (remembering w2=x and so w3=x√x )
16.Soru
Which of the following is the maximin strategy for Player I , if matrix game is given as
|
1 st row |
|
2 st row |
|
3 nd column |
|
2 nd row |
|
4 nd row |
The maximum of the numbers -5,6,-1,1 is 6 .The corresponding row is the 2 nd row. Correct answer is D.
17.Soru
Which of the following is the point of intersection of the lines given by
|
(4,3) |
|
(7,1) |
|
(3,6) |
|
(5,7) |
|
(1,5) |
Multiply both sides of the second equation by 2 and add to the first equation, to obtain
From the second equation
The correct answer is E.
18.Soru
doğrusal şifreleme fonksiyonunun deşifre fonksiyonu aşağıdakilerden hangisidir?
|
|
|
|
|
|
|
|
|
|
doğrusal şifreleme fonksiyonunun deşifre fonksiyonu
şeklindedir. Burada
olacak şekildeki bir sayıdır
olduğundan deşifre fonksiyonu
olur. Buradan doğru cevap A’dır.
19.Soru
Which of the following functions is an antiderivative of 2x+2?
|
2x3+2x |
|
x2+2x+5 |
|
x2+2 |
|
|
|
|
(x2+2x+5)'=2x+2
-
- 1.SORU ÇÖZÜLMEDİ
- 2.SORU ÇÖZÜLMEDİ
- 3.SORU ÇÖZÜLMEDİ
- 4.SORU ÇÖZÜLMEDİ
- 5.SORU ÇÖZÜLMEDİ
- 6.SORU ÇÖZÜLMEDİ
- 7.SORU ÇÖZÜLMEDİ
- 8.SORU ÇÖZÜLMEDİ
- 9.SORU ÇÖZÜLMEDİ
- 10.SORU ÇÖZÜLMEDİ
- 11.SORU ÇÖZÜLMEDİ
- 12.SORU ÇÖZÜLMEDİ
- 13.SORU ÇÖZÜLMEDİ
- 14.SORU ÇÖZÜLMEDİ
- 15.SORU ÇÖZÜLMEDİ
- 16.SORU ÇÖZÜLMEDİ
- 17.SORU ÇÖZÜLMEDİ
- 18.SORU ÇÖZÜLMEDİ
- 19.SORU ÇÖZÜLMEDİ