aof.sorular.net
Programlama Ve Algoritmalar
Programlama Ve Algoritmalar Deneme Sınavı
Programlama Ve Algoritmalar Deneme Sınavı Sorusu #745622
Programlama Ve Algoritmalar Deneme Sınavı Sorusu #745622
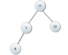
Başlangıçta boş bir AVL ağacına sırasıyla 7, 12, 11 ve 4 sayıları eklendiğinde ağacın son şekli ne olur?
|
|
|
|
|
|
|
|
|
|
Yanıt Açıklaması:
7 eklenince kök olur. 12 bu kökün sağına yerleşecektir. 11 eklendiğinde kökün sağ tarafında LR gerçekleşip 11 kök olur. 7 sola 12 sağa geçecektir. 4 eklenince bu da ağacın solunda en alt düğüm olacaktır.
Yorumlar
- 0 Yorum