aof.sorular.net
Sağlık Alanında İstatistik
Sağlık Alanında İstatistik Deneme Sınavı
Sağlık Alanında İstatistik Deneme Sınavı Sorusu #718637
Sağlık Alanında İstatistik Deneme Sınavı Sorusu #718637
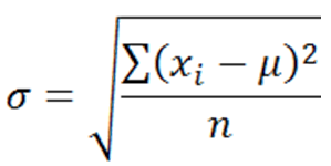
Bir sınavda 10 öğrencinin aldığı notlar 24, 38, 36, 40, 54, 57, 75, 91, 50, 85'tir. Bu sonuçları alan öğrencilerin oluşturduğu sınıfta notların ana kütle standart sapması nedir?
|
21,12 |
|
22,27 |
|
55 |
|
495,78 |
|
446,2 |
Yanıt Açıklaması:
Sınav sonuçlarının ortalaması 550/10=55 olarak bulunur. Ana kütle standart sapma formülü
olarak verilmiştir. Bu formülde ortalama yerine 55, n yerine 10 koyularak ve her bir değer için hesaplama gerçekleştirilerek standart sapma değeri 21,12 olarak hesaplanır.
Yorumlar
- 0 Yorum