Sağlık Alanında İstatistik Ara 2. Deneme Sınavı
Toplam 20 Soru1.Soru
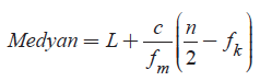
Zihinsel engelli öğrencilerin eğitim gördüğü bir okulda bulunan öğrencilerin sayısının yaş gruplarına göre gruplandırılmış frekans tablosu aşağıda verilmiştir. Tablo verilerine ve yukarıdaki bilgiye dayanarak, bu grubun medyanı kaç olarak hesaplanır?
|
16,36 |
|
10,36 |
|
9,63 |
|
6,36 |
|
2,36 |
Öncelikle tabloya kümülatif frekansları yer alan bir sütun ekleyelim.
Toplam 30 öğrenci olduğuna göre 30/2= 15 olarak bulunur. Gruplanmış frekans serisinde, 15. Terimin yer aldığı sınıf medyan sınıfı 8-10 sınıfı’dır. Formülde yerine koyarsak:
Medyan=8+(2/11).((30/2)-6)=8+(18/11)=(88+18)/11=106/11=9,63
olarak hesaplanır. Doğru yanıt C seçeneğidir.
2.Soru
I. Birlikte değişen iki farklı değişken tek bir tabloda gösterilebilir. II. Kontenjans tablosu, yalnız frekans serilerinin gösteriminde kullanılır. III.Değişkenler, kategorik ya da kategorik değişkene dönüştürülebilir olmalıdır. Kontenjans tablosuyla ilgili yukarıda verilen ifadelerden hangileri doğrudur?
|
Yalnız I |
|
Yalnız II |
|
I ve II |
|
I ve III |
|
II ve III |
Eğer incelenmesi gereken iki değişken bulunuyorsa, bu iki değişkenin birlikte değişiminin tek bir tabloda gösterilmesi amacıyla değişkenlerden birinin farklı düzeylerinin tablonun satırlarına, diğerininkilerin de tablonun sütunlarına yerleştirilmesi yoluyla oluşturulan tablo türüne kontenjans tablosu ya da iki-yönlü frekans tablosu denir. Kontenjans tablosunda yer alacak değişkenlerin kategorik ya da kategorik değişkene dönüştürülebilir olması gerekir. Günümüzde bilgisayar paket programları yardımıyla sürekli değişkenler kolayca sınıflandırılabilmekte ve veri setleri frekans serisi ya da kontenjans tablosu hâline dönüştürülebilmektedir. Buna karşılık, frekans serileri dışında başka türde veriler de kontenjans tablosu biçiminde sunulabilir. Doğru cevap D'dir.
3.Soru
Bir ilde bir yıl içerisinde yaşanan trafik kazalarının sonuçlarına ilişkin bir araştırmanın birimi nedir?
|
İlde bir yıl içerisinde yaşanan toplam trafik kazası sayısı |
|
İlde bir yıl içerisinde yaşanan her bir maddi hasarlı trafik kazası |
|
İlde bir yıl içerisinde yaşanan her bir trafik kazası |
|
İlde bir yıl içerisinde yaşanan her bir ölümlü trafik kazası |
|
İlde bir yıl içerisinde yaşanan her bir yaralamalı trafik kazası |
Hakkında bilgi toplanmak istenilen, üzerinde özellikleri ile ilgili ölçüm, sayım ya da gözlemlerin yapılabildiği canlı varlıklar, nesneler ya da olayların her birine birim adı verilir. Doğru cevap C'dir.
4.Soru
Araştırılan değişkenin oran, indeks, yüzde ya da artış oranı olarak ölçümlendiği problemlerde değişken için ortalama hesaplanılması gerektiğinde kullanılan ortalama türüne ne denir?
|
Ortalama |
|
Geometrik ortalama |
|
Kırpılmış ortalama |
|
Harmonik ortalama |
|
Aritmatik ortalama |
Araştırılan değişkenin oran, indeks, yüzde ya da artış oranı olarak ölçümlendiği problemlerde değişken için ortalama hesaplanılması gerektiğinde kullanılan ortalama türü geometrik ortalamadır.
5.Soru
Aşağıdakilerden hangisi merkezi eğilim ölçülerinden biri değildir?
|
Aritmetik ortalama |
|
Medyan |
|
Mod |
|
Standart sapma |
|
Geometrik ortalama |
Standart sapma merkezi eğilim ölçülerinden biri değildir. Standart sapma değişkenlik ölçülerindendir.
6.Soru
Bir veri kümesinde, her gruba ait frekans değerinin toplam frekans içerisindeki yüzdesini gösterecek şekilde düzenlenmiş hali aşağıdakilerden hangisidir?
|
Basit seri |
|
Frekans serisi |
|
Oransal frekans dağılımı |
|
Kümülatif frekans serisi |
|
Kontenjans tablosu |
Deney ve araştırma sonucunda elde edilen ve ilgilenilen değişkenin herhangi bir özelliğine göre sıralanmış veri kümesine basit seri adı verilir. Büyüklük sırasına konmuş birimlerin birden fazla kullanılması durumunda, ilgilenilen değişkenin aldığı değerlerin tekrarlanma sayılarını da gösterecek şekilde elde edilen seriye frekans serisi denir. Frekans ya da gruplanmış frekans serilerinde her gruba ait frekans değerinin toplam frekans içerisindeki yüzdesini gösterecek şekilde düzenlenen seriye oransal frekans dağılımı veya oransal frekans serisi adı verilir. Bazı araştırmalarda araştırma sonuçları yorumlanırken, kaç adet gözlem sonucunun bir değerden daha yüksek veya daha düşük olduğu saptanmak istenebilir. Bu sorunun daha kolay cevaplanabilmesi için, kümülatif frekans serisi oluşturulur. Kümülatif frekans serileri küçükten büyüğe ya da büyükten küçüğe doğru oluşturulabilir. Küçükten büyüğe doğru oluşturulan kümülatif frekans serisinde -den az adı verilen yeni bir sütun bulunurken, büyükten küçüğe doğru oluşturulan kümülatif frekans serileri için –den çok adı verilen sütun bulunur. Eğer incelenmesi gereken iki değişken bulunuyorsa, bu iki değişkenin birlikte değişiminin tek bir tabloda gösterilmesi amacıyla değişkenlerden birinin farklı düzeylerinin tablonun satırlarına, diğerininkilerin de tablonun sütunlarına yerleştirilmesi yoluyla oluşturulan tablo türüne kontenjans tablosu denir. Doğru yanıt C'dir.
7.Soru
z standart normal dağılıma sahip bir rassal değişken olduğuna göre,
P(z > 1,15)=?
|
0,1251 |
|
0,2247 |
|
0,3033 |
|
0,3949 |
|
0,8749 |
• Normal dağılım için eğrinin altında kalan toplam alan 1’e eşittir. Dağılım simetrik olduğundan, aritmetik ortalamanın sağında ve solunda kalan yarı alanların büyüklüğü 0,50’ye eşittir.
• Aritmetik ortalaması ve standart sapması belli bir normal dağılımda μ ve σ değerleri arasında değişmez ilişkiler vardır. Bu ilişki yardımıyla aritmetik ortalamadan ne kadar uzaklaşılırsa hangi büyüklükte bir alan elde edileceği belirlenebilir.
Standart normal dağılım için, dağılımın olasılık yoğunluk fonksiyonundan yararlanılarak oluşturulan tablo yardımıyla eğrinin altında kalan alanlar hesaplanarak istenen olasılıklar hesaplanabilir. Bu tabloya z tablosu adı verilir. Ek-1’de verilen z tablosunda, standart normal dağılıma sahip bir rassal değişkenin 0 ile z değeri aralığında bir değer alma olasılıkları verilmektedir.
Bizim işlemimiz için z= 1,15 değerine bakıldığında z=0 ile z=1,15 değerleri arasında kalan alan hesaplanmış olur.z= 1,15 değeri ise 0,3749 olduğu görülecektir.Bizden istenen P(z > 1,15) olduğu için (0,50 – 0,3749 ) = 0,1251 olarak bulunur.
8.Soru
Örneklem uzayı hangi harfle ifade edilir?
|
C |
|
S |
|
P |
|
N |
|
R |
Örneklem uzayı S harfiyle ifade edilir. Doğru cevap B'dir.
9.Soru
6!/(4!+5!) işleminin değeri kaçtır?
|
0,02 |
|
0,2 |
|
5 |
|
7 |
|
7,5 |
6!/(4!+5!)=(6)(5)(4)(3)(2)(1)/[(4)(3)(2)(1)+(5)(4)(3)(2)(1)]
=720/[24+120]
=5
olarak hesaplanır. Doğru cevap C'dir.
10.Soru
Bir sınavda 10 öğrencinin aldığı notlar 24, 38, 36, 40, 54, 57, 75, 91, 50, 85'tir. Bu sonuçları alan öğrencilerin oluşturduğu sınıfta notların ana kütle standart sapması nedir?
|
21,12 |
|
22,27 |
|
55 |
|
495,78 |
|
446,2 |
Sınav sonuçlarının ortalaması 550/10=55 olarak bulunur. Ana kütle standart sapma formülü
olarak verilmiştir. Bu formülde ortalama yerine 55, n yerine 10 koyularak ve her bir değer için hesaplama gerçekleştirilerek standart sapma değeri 21,12 olarak hesaplanır.
11.Soru
Bir deneyin herhangi bir olası sonucunun sayısal değerine ne ad verilir?
|
Önsel olasılık |
|
Rassal değişken |
|
Sonsal olasılık |
|
Koşullu olasılık |
|
Ayrık olay |
Bir deneyin herhangi bir olası sonucunun sayısal değerine rassal değişken adı verilir. Doğru cevap B'dir.
12.Soru
Koşullara bağlı olarak farklı zamanlarda farklı değerler alabilen birimlerin herhangi bir özelliğine ya da karakteristiğine ne ad verilir?
|
Veri |
|
Değişken |
|
İstatistik |
|
Örneklem |
|
Parametre |
Koşullara bağlı olarak farklı zamanlarda farklı değerler alabilen birimlerin herhangi bir özelliğine ya da karakteristiğine değişken adı verilir. Doğru cevap B'dir.
13.Soru
X rassal değişkeni, aritmetik ortalaması 32 ve standart sapması 4 olan normal dağılıma sahiptir. Bu x rassal değişkeninin 28 ile 37 arasında yer alma olasılığı kaçtır?
|
0,0531 |
|
0,3683 |
|
0,4452 |
|
0,5768 |
|
0,7357 |
Aritmetik ortalaması µ ve standart sapması ? olan herhangi bir normal dağılım için olasılıkların hesaplanmasında standart normal dağılımdan yararlanılabilir. Bu amaçla yapılması gereken ilk işlem, dağılımın standart normal dağılıma dönüştürülmesidir. Herhangi bir normal dağılım, gözlem değerlerinden aritmetik ortalama değeri çıkartıldıktan sonra, bu farkın standart sapmaya bölünmesi yoluyla standart normal dağılıma dönüştürülebilir. Dolayısıyla, aritmetik ortalaması µ ve standart sapması ? olan normal dağılıma sahip bir x rassal değişkeninin standart normal dağılımlı z rassal değişkenine dönüştürülebilmesi için kullanılacak eşitlik;
Z= (x- µ)/? olarak verilir. Ardından, istenen olasılığın hesaplanabilmesi için standart normal dağılım tablosu ve uygun z değerinden yararlanılır. Örneğimiz için ise P(28?x?37) değerleri hesaplanırken
X=28 için z değeri Z= (28-32)/4 = -1 ve
X=37 için z değeri Z= (37-32)/4 = 1,25 olarak bulunur. Bu durumda
P(-1 ? z ? 1,25 ) değerleri arasındaki alan hesaplanmalıdır.
Z= -1 ortalamanın solunda ve z = 1,25 değeri ortalamanın sağında olduğu için ikisinin denk geldiği alan değerleri toplanır.
Z= -1 için alan 0,3413 ve z = 1,25 için alan 0,3944 iki değer toplandığında ise 0,7357 olarak bulunur.
14.Soru
Aşağıdakilerden hangisi bir olasılık değeri olamaz?
|
3/8 |
|
0,9 |
|
0,02 |
|
3/2 |
|
5/12 |
Olasılık değerleri daima 0 ile 1 arasında bir değer alır. D seçeneği 1'den büyük bir değer olduğu için bir olasılık değeri olamaz. Doğru cevap D'dir.
15.Soru
Bir öğrenci hafta sonunu 5 farklı test kitabının 2 sini bitirerek geçirmeyi planlamaktadır.5 test kitabı içinden kaç farklı 2 li kitap seçebilir ?
|
2 |
|
6 |
|
10 |
|
20 |
|
60 |
İkinci sayma kuralı olan kombinasyon yardımıyla, N sayıda nesne arasından n adet nesnenin diziliş sırası dikkate alınmadan kaç farklı biçimde seçilebileceği yani bu seçimdeki olası sonuç sayısı belirlenebilmektedir. Buna göre, N sayıda nesneden n tanesi (n?N) rastgele olarak seçilir ve n birim herhangi bir sırada yazılırsa buna n-dereceli kombinasyon adı verilir. Buna göre;
C_N^n = N!/(n ! .(N-n)!) eşitliği yardımıyla hesaplanır.
N=5 ve n= 2 olduğuna göre
C_5^2 = 5!/(2 ! .(5-2)!) = 5.4.3.2.1/2.1.3.2.1 = 10
16.Soru
Sayıların yalnızca birimlerin ait olduğu sınıfı belirtmek üzere kullanıldığı ölçek türü aşağıdakilerden hangisidir?
|
Sınıflayıcı ölçek |
|
Sıralayıcı ölçek |
|
Aralıklı ölçek |
|
Eşit aralıklı ölçek |
|
Oransal ölçek |
Sayıların yalnızca birimlerin ait olduğu sınıfı belirtmek üzere kullanıldığı ölçek türü sınıflayıcı ölçektir. Doğru cevap A'dır.
17.Soru
Bir tuğla fabrikasından çıkan tuğlaların taşıdığı ağırlıkların aritmetik ortalaması 500 gr.’dır. Tuğlaların taşıdığı ağırlığın standart sapma değeri 50 gr.’dır. Bu fabrikada üretilen tuğlaların en az yüzde kaçı taşıdığı ağırlıkların aritmetik ortalaması 1000 gr.’ın artı eksi 5 gr. standart sapma aralığında yer almaktadır?
|
%50 |
|
%95 |
|
%96 |
|
%97 |
|
%98 |
Bu soruda tuğlaların değişken frekans dağılımı hakkında hiçbir bilgi verilmemiştir. Dağılımın simetrik ya da asimetrik olduğu konusunda bir bilgi yoktur. Dolayısıyla çözüm için Chebyshev teorem kullanılabilir. Chebyshev teoremine göre herhangi bir veri seti için (örneklem veya ana kütle) aritmetik ortalamadan standart sapmanın k katı uzaklıkta, k > 1 olmak üzere, yer alacak terimlerin en düşük oranı 1 – (1/k2)olur. İstenen aralık 5 gr. standart sapma aralığı olduğu için teoreme göre göre
1-(1/(52))=1-(1/25)=1-0,04=0,96 bulunduğundan, tuğlaların en az %96’ü 1000 gr'ın artı eksi 5 gr. standart sapma aralığında yer almaktadır. Doğru yanıt C'dir.
18.Soru
Aşağıdaki grafik türlerinden hangisi iki değişken arasındaki ilişkinin varlığını görsel olarak araştırmak amacıyla oluşturulmaktadır?
|
Çizgi grafiği |
|
Sütun grafiği |
|
Histogram |
|
Saçılım grafiği |
|
Dal-yaprak grafiği |
İki değişken arasındaki ilişkinin varlığını görsel olarak araştırmak amacıyla oluşturulan grafik türü, saçılım grafiğidir. Doğru cevap D'dir.
19.Soru
İkiden fazla ana kütle ortalamasının karşılaştırılmasında hangi yöntem kullanılır?
|
Rassal yöntem |
|
Varyans analizi |
|
Karşık hipotez |
|
Sıfır hipotez tekniği |
|
Düzeltme teoremi |
İkiden fazla ana kütle ortalamasının karşılaştırılmasında Varyans Analizi (ANOVA) yöntemi kullanılır. ANOVA ile dağılımların toplam değişkenliğini çeşitli bileşenlere ayırma yöntemi yardımıyla bağımsız değişkenlerin bağımlı değişkenler üzerindeki etkileri incelenebilmektedir. Bu bölümde, uygulamalarda çok sık kullanılan Tek-Yönlü Varyans Analizi yöntemi kısaca açıklanmaya çalışılacaktır.
20.Soru
İkiden fazla ana kütle ortalamasının karşılaştırılmasında aşağıdakilerden hangisi kullanılır?
|
Karşıt hipotez |
|
Anlam düzeyinin belirlenmesi |
|
Rassal örneklem |
|
Anova yöntemi |
|
Deneysel hata terimi |
İkiden fazla ana kütle ortalamasının karşılaştırılmasında Varyans Analizi (ANOVA) yöntemi kullanılır.
-
- 1.SORU ÇÖZÜLMEDİ
- 2.SORU ÇÖZÜLMEDİ
- 3.SORU ÇÖZÜLMEDİ
- 4.SORU ÇÖZÜLMEDİ
- 5.SORU ÇÖZÜLMEDİ
- 6.SORU ÇÖZÜLMEDİ
- 7.SORU ÇÖZÜLMEDİ
- 8.SORU ÇÖZÜLMEDİ
- 9.SORU ÇÖZÜLMEDİ
- 10.SORU ÇÖZÜLMEDİ
- 11.SORU ÇÖZÜLMEDİ
- 12.SORU ÇÖZÜLMEDİ
- 13.SORU ÇÖZÜLMEDİ
- 14.SORU ÇÖZÜLMEDİ
- 15.SORU ÇÖZÜLMEDİ
- 16.SORU ÇÖZÜLMEDİ
- 17.SORU ÇÖZÜLMEDİ
- 18.SORU ÇÖZÜLMEDİ
- 19.SORU ÇÖZÜLMEDİ
- 20.SORU ÇÖZÜLMEDİ