aof.sorular.net
Sembolik Mantık
Sembolik Mantık Deneme Sınavı
Sembolik Mantık Deneme Sınavı Sorusu #444712
Sembolik Mantık Deneme Sınavı Sorusu #444712
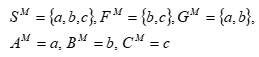
modellemesinde aşağıdakilerden hangisi yanlıştır?
|
FC |
|
FB |
|
GC |
|
GA |
|
GB |
Yanıt Açıklaması:
{a,b,c} kümesi üzerindeki M modelinde ve
olduğundan buna göre
olduğundan FB ve FC doğru
olduğundan GA ve GB doğru
olduğundan GC yanlıştır.
Yorumlar
- 0 Yorum