aof.sorular.net
Sembolik Mantık
Sembolik Mantık Deneme Sınavı
Sembolik Mantık Deneme Sınavı Sorusu #444713
Sembolik Mantık Deneme Sınavı Sorusu #444713
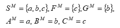
modellemesinde aşağıdakilerden hangisi doğrudur?
|
FA |
|
FB |
|
GC |
|
GA |
|
GB |
Yanıt Açıklaması:
Yorumlar
- 0 Yorum