Statıstıcs I Deneme Sınavı Sorusu #839882
Pdf for continuous random variable X is defined as follows;
f (x) = 0.02, for 0 ? x ? 50. What is the standard deviation of the continuous random variable X?
|
208.33 |
|
833.33 |
|
104.167 |
|
14.4336 |
|
0. 1443 |
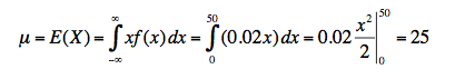
Yanıt Açıklaması:
The standard deviation of the continuous random variable X;
Yorumlar
- 0 Yorum