aof.sorular.net
Yöneylem Araştırması
Yöneylem Araştırması Deneme Sınavı
Yöneylem Araştırması Deneme Sınavı Sorusu #592844
Yöneylem Araştırması Deneme Sınavı Sorusu #592844

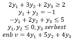
Yukarıda görülen doğrusal karar modelinin ikili aşağıdakilerden hangisidir?
|
|
|
|
|
|
|
|
|
|
Yanıt Açıklaması:
Yorumlar
- 0 Yorum