Yöneylem Araştırması Final 10. Deneme Sınavı
Toplam 19 Soru1.Soru
Genel olarak ürünlerin birden fazla üretim noktasından, birden fazla tüketim noktasına dağıtımı ile ilgili problemler ne tür problemlerdir?
|
ulaştırma veya atama problemleri |
|
yönlendirme problemleri |
|
araştırma problemleri |
|
üretim problemleri |
|
VAM problemleri |
Genel olarak ürünlerin birden fazla üretim noktasından, birden fazla tüketim noktasına dağıtımı ile ilgili problemler ulaştırma ve atama problemleri olarak adlandırılmaktadır. Doğru cevap A seçeneğidir.
2.Soru
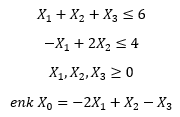
Bir enküçükleme problemi için geliştirilen matematiksel model ve karşı gelen eniyi çözüm tablosu verilmiştir.

X1’in amaç fonksiyonuna katkısının -5 olması durumunda X2 değişkenine amaç fonksiyonu satırında karşı gelen değer kaç olur?
|
6 |
|
4 |
|
-5 |
|
-6 |
|
-4 |
3.Soru
Zayıf ikillik özelliğine göre, asıl ve ikil problemlerin her ikisi de uygun çözümlü olduğunda, bu modellerin herhangi uygun çözümlerine karşı gelen amaç fonksiyonu değerleri arasında sağlanan ilişki nasıl gösterilir?
|
[Enbüyükleme probleminin amaç fonksiyonu değeri] ≤ [Enküçükleme probleminin amaç fonksiyonu değeri] |
|
[Enbüyükleme probleminin amaç fonksiyonu değeri] = [Enküçükleme probleminin amaç fonksiyonu değeri] |
|
[Enbüyükleme probleminin amaç fonksiyonu değeri] ≥ [Enküçükleme probleminin amaç fonksiyonu değeri] |
|
[Enküçükleme probleminin amaç fonksiyonu değeri] ≤ [Enbüyükleme probleminin amaç fonksiyonu değeri] |
|
[Enbüyükleme probleminin amaç fonksiyonu değeri] / [Enküçükleme probleminin amaç fonksiyonu değeri] |
Zayıf ikillik özelliğine göre, asıl ve ikil problemlerin her ikisi de uygun çözümlü olduğunda, bu modellerin herhangi uygun çözümlerine karşı gelen amaç fonksiyonu değerleri arasında daima,
[Enbüyükleme probleminin amaç fonksiyonu değeri] ≤ [Enküçükleme probleminin amaç fonksiyonu değeri] ilişkisi sağlanır.
4.Soru
İkililik kavramının kökeni aşağıdakilerden hangisidir?
|
İspanyolca |
|
Rusça |
|
İngilizce |
|
Arapça |
|
Latince |
İkillik ya da Latince kökenli adıyla dualite kelimesi, farklı alanlarda değişik anlamlara sahip olsa da, genel olarak karşıtlık ve birbirini tamamlayıcılık özelliklerine işaret etmektedir.
5.Soru
Verilen seçeneklerden hangisi yanlıştır?
|
Asıl modeldeki i. kısıta, i. ikil değişken karşı gelir. |
|
İkil modeldeki j. kısıt, asıl modelin j. karar değişkeni ile ilişkilidir. |
|
Asıl problem karın enbüyüklenmesi ise, ikil değişkenler kaynakların kapasitelerini verir. |
|
Kanonik biçimde yazılmış bir asıl problemde, ikil değişkenler negatif değer alamaz. |
|
Asıl problemde amaç enbüyükleme ise, ikil problemde amaç enküçüklemedir. |
Asıl problemde, üç farklı kaynağı kullanarak (montaj saati, cilalama saati, depo yeri), iki çeşit ürün (A ve B) imal etmek isteyen bir mobilya şirketi bulunmaktadır. Firmanın elindeki mevcut kaynaklar sınırlı olup bunların enbüyük kullanım miktarları (kapasiteleri) ve her ürünün satışından elde edilecek birim karlar bilinmektedir. O¨zetle asıl problem, kaynak kısıtları altında, enbüyük kazançlı ürün imal etme ya da satma problemidir.
6.Soru

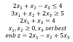
Yukarıda görülen doğrusal karar modelinin ikili aşağıdakilerden hangisidir?
|
|
|
|
|
|
|
|
|
|
7.Soru
I. İkil modelin değişkenlerinden hareketle, asıl problemle ilgili önemli ekonomik açıklamalarda bulunma ve yorum yapma imkanı sağlar.
II. Modelin yapısındaki veya parametrelerindeki değişimleri inceleyen duyarlılık analizleri ile ilgili işlemlere katkıda bulunur.
III. Bazı durumlarda ikillik, ilgilenilen asıl problemin çözümünü kolaylaştırır.
Yukardakilerden hangileri doğrusal programlamada ikilliğin önemli olmasının başlıca nedenleridir?
|
I, II ve III |
|
I ve II |
|
I ve III |
|
II ve III |
|
Yalnızca I |
Doğrusal programlamada ikilliğin önemli olmasının başlıca üç ana nedeni bulunmaktadır:
- İkil modelin değişkenlerinden hareketle, asıl problemle ilgili önemli ekonomik açıklamalarda bulunma ve yorum yapma imkanı sağlar.
- Modelin yapısındaki veya parametrelerindeki değişimleri inceleyen duyarlılık analizleri ile ilgili işlemlere katkıda bulunur.
- Bazı durumlarda ikillik, ilgilenilen asıl problemin çözümünü kolaylaştırır.
Bu nedenle doğru yanıt a) seçeneğidir.
8.Soru
Aşağıdaki genellemelerden hangisi yanlıştır?
|
Asıl ve ikil modellerin amaçları karşıt yöndedir |
|
Bir modeldeki i. kısıt, diğer modeldeki i. karar değişkenine karşı gelir. |
|
Bir modeldeki i. kısıtın yönü, diğer modelde bu kısıta karşı gelen i. karar değişkeninin işaretini belirler. |
|
Eğer bir modelde i. kısıt eşitlik olarak ifade edilmişse, diğer modelin i. karar değişkeni serbest işaretli olur. |
|
Bir model enbüyükleme amaçlı ise diğeri de enbüyükleme amaçlıdır. |
Bir model enbüyükleme amaçlı ise diğeri enküçükleme amaçlıdır.
9.Soru
Simpleks algoritmasında “Bir doğrusal karar probleminin çözümü elde edildikten sonra, modelde, bazen değişiklikler olabilir. Bu değişiklikler yeni bir kısıtın veya yeni bir değişkenin eklenmesi şekillerinde ortaya çıkabilir. Duyarlılık analizleri eniyi çözüm sonrası yapılan analizler olduğundan, yeni bir değişken eklenmesi durumunda şu yol izlenmelidir: Bir karar değişkeni bir çözümde, ya temelde ya da temel dışında yer alır. Bu durumu belirleyen özellik ise ilgili değişkenin temele alınması halinde amaç fonksiyonu değerini daha da iyileştirip iyileştirmeyeceğidir. Değişkene x0 satırında karşı gelen değer bu durumun göstergesidir.” Şeklinde yapılan açıklama aşağıdaki duyarlılık analizi yöntemlerinden hangisini ifade etmektedir?
|
Yeni Bir Değişkenin Eklenmesi Yapısal Değişikliğine Göre Duyarlılık Analizi |
|
Katkı Parametresindeki Değişime Göre Duyarlılık Analizi |
|
Sağ Taraf Sabitindeki Değişime Göre Duyarlılık Analizi |
|
Teknik Katsayılardaki Değişime Göre Duyarlılık Analizi |
|
Yeni Bir Kısıtın Eklenmesi Yapısal Değişikliğine Göre Duyarlılık Analizi |
Simpleks algoritmasında “Bir doğrusal karar probleminin çözümü elde edildikten sonra, modelde, bazen değişiklikler olabilir. Bu değişiklikler yeni bir kısıtın veya yeni bir değişkenin eklenmesi şekillerinde ortaya çıkabilir. Duyarlılık analizleri eniyi çözüm sonrası yapılan analizler olduğundan, yeni bir değişken eklenmesi durumunda şu yol izlenmelidir: Bir karar değişkeni bir çözümde, ya temelde ya da temel dışında yer alır. Bu durumu belirleyen özellik ise ilgili değişkenin temele alınması halinde amaç fonksiyonu değerini daha da iyileştirip iyileştirmeyeceğidir. Değişkene x0 satırında karşı gelen değer bu durumun göstergesidir.” Şeklinde yapılan açıklama yeni bir değişkenin eklenmesi yapısal değişikliğine göre gerçekleştirilen duyarlılık analizini ifade etmektedir.
10.Soru
Grafik çözüm tekniği hakkında aşağıdakilerden hangisi söylenemez?
|
Genellikle iki karar değişkenli modellerin çözümünde kullanılır. |
|
Uygun çözüm düzlemin herhangi bir bölgesinde yer alabilir. |
|
İki karar değişkenli modelde, kısıtların her biri düzlemde bir doğru oluşturur. |
|
Uygun çözüm alanının köşe noktalarından amacı sağlayan köşe optimum çözüm noktasıdır. |
|
Modelde kısıtları aynı anda gerçekleştiren (x1, x2) ikilileri uygun çözüm alanını oluşturur. |
İki değişkenli doğrusal programlama modelinde karar değişkenlerinin negatif olmama kısıtlarını sağlayabilmesi demek, bu değişken değerlerinin sıfır veya pozitif bir gerçel sayı değeri alması anlamına gelmektedir. Koordinat sisteminde karar değişkenleri sıfır veya pozitif değerleri I. bölgede aldığından uygun çözüm düzlemin I. bölgesinde yer alacaktır. Dolayısıyla uygun çözüm düzlemin I. bölgesinde ortaya çıkacaktır.
11.Soru
Hedef programlamayı doğrusal programlamadan ayıran en önemli özellik nedir?
|
eniyi çözüm elde edilmesi |
|
etkin çözüm elde edilmesi |
|
enetkin çözüm elde edilmesi |
|
iyi çözüm elde edilmesi |
|
çözüme ulaşmanın zorluğu |
Hedef programlamayı doğrusal programlamadan ayıran en önemli özellik birden fazla amacın eniyilenmeye çalışılmasıdır. Bu nedenle, en iyi çözüm yerine etkin bir çözüm elde edilmektedir.
12.Soru
"Temelde yer alan bir değişkenin bir kısıttaki teknik katsayısının değişmesi halinde ise, sözkonusu değişiklik B matrisinin, dolayısıyla ________ matrisinin değişmesi anlamına gelmektedir." Verilen boşluğu doğru şekilde tamamlayan seçenek aşağıdakilerden hangisidir?
"Temelde yer alan bir değişkenin bir kısıttaki teknik katsayısının değişmesi halinde ise, sözkonusu değişiklik B matrisinin, dolayısıyla ________ matrisinin değişmesi anlamına gelmektedir." Verilen boşluğu doğru şekilde tamamlayan seçenek aşağıdakilerden hangisidir?
|
B0 |
|
B-1 |
|
b |
|
b0 |
|
b1 |
Temelde yer alan bir değişkenin bir kısıttaki teknik katsayısının değişmesi halinde ise, sözkonusu değişiklik B matrisinin, dolayısıyla B-1 matrisinin değişmesi anlamına gelmektedir.
13.Soru
Asıl modelin parametreleri kullanılarak oluşturulan ve karşıt yönde amaç fonksiyonuna sahip olan diğer model aşağıdakilerden hangisidir?
|
Steril model |
|
İkil model |
|
Eril model |
|
Asil model |
|
Öncü model |
İkil model ise, asıl modelin parametreleri kullanılarak oluşturulan ve
karşıt yönde amaç fonksiyonuna sahip olan diğer modeldir.
14.Soru
Aşağıdakilerden hangileri doğrusal hedef programlama modeli ile uygun bir çözüm elde edebilmek için sağlanması gereken varsayımlar arasında yer alır? I. Oransallık varsayımı II. Toplanabilirlik varsayımı III. Bölünebilirlik varsayımı IV. Belirsizlik varsayımı
|
Yalnız II ve III |
|
Yalnız I ve IV |
|
I.II.III |
|
II.III.IV |
|
I.III.IV. |
Doğrusal hedef programlama modeli ile uygun bir çözüm elde edebilmek için, doğrusal karar modeli için geçerli olan oransallık, toplanabilirlik, bölünebilirlik ve belirlilik varsayımlarının sağlanması gerekmektedir. IV. Seçenekte yer alan belirsizlik varsayımı doğrusal hedef programlama modeli ile uygun bir çözüm elde edebilmek için sağlanması gereken varsayımlar arasında yer almadığından yanlıştır. Buna göre doğru cevap C’dir.
15.Soru
Ulaştırma modelinde talep ve sunum kısıtlarını sağlayan herhangi bir çözümün en iyi çözüm olup olmadığını sınayabilmek ve ulaştırma tablosu üzerinde işlemleri yürütebilmek için, bu çözümün ne olması gerekir?
|
Kesin uygun çözüm |
|
Temel uygun çözüm |
|
Asıl uygun çözüm |
|
Başarılı uygun çözüm |
|
Sonuç veren uygun çözüm |
Ulaştırma modelinde talep ve sunum kısıtlarını sağlayan herhangi bir çözümün en iyi çözüm olup olmadığını sınayabilmek ve ulaştırma tablosu üzerinde işlemleri yürütebilmek için, bu çözümün temel uygun çözüm olması gerekir.
16.Soru
I. Asıl ve ikil modellerden her ikisinin sınırlı değerde eniyi çözümü vardır ve eniyi değerler birbirine eşittir.
II. Asıl modelin uygun bir çözümü olup amaç fonksiyonu değeri sınırsız olduğunda, ikil modelin uygun çözümü yoktur.
III. İkil modelin uygun bir çözümü olup amaç fonksiyonu değeri sınırsız olduğunda, asıl modelin uygun çözümü yoktur.
IV. Hem asıl hem de ikil modelin uygun bir çözümü yoktur.
İkillik teoremine göre, bir doğrusal programlama problemi için geliştirilen asıl ve ikil modellerin çözümleri ile ilgili, yukarıdaki durumlardan hangileri geçerli olur?
|
Sadece birisi |
|
I ve II durumları |
|
I ve III durumları |
|
I, II ve III durumları |
|
I, II, III ve IV durumları |
Zayıf ve güçlü ikillik özelliklerinden hareketle, bir doğrusal programlama problemi için geliştirilen asıl ve ikil modellerin çözümleri ile ilgili, aşağıdaki durumlardan sadece birisi söz konusu olur:
- Asıl ve ikil modellerden her ikisinin sınırlı değerde eniyi çözümü vardır ve eniyi değerler birbirine eşittir.
- Asıl modelin uygun bir çözümü olup amaç fonksiyonu değeri sınırsız olduğunda, ikil modelin uygun çözümü yoktur.
- İkil modelin uygun bir çözümü olup amaç fonksiyonu değeri sınırsız olduğunda, asıl modelin uygun çözümü yoktur.
- Hem asıl hem de ikil modelin uygun bir çözümü yoktur.
Karşılaşılabilir durumlar aşağıdaki tabloda özetlenmektedir. İkinci ve üçüncü durumlar kısaca “Modellerden birisinin sınırsız değerde çözümü varsa, diğer modelin uygun çözümü yoktur” şeklinde de ifade edilebilir.
Bu nedenle doğru yanıt a) seçeneğidir.
17.Soru
İkillik ile ilgili verilen bilgilerden hangisi yanlıştır?
|
Latince kökenli adıyla dualite demektir. |
|
Karşıtlık ve birbirini tamamlayıcılık özelliklerine işaret etmektedir. |
|
Siyah-beyaz bir daireyle sembolize edilmektedir. |
|
Her şeyin birbirinden ayrılamaz iki karşıt kutbunu ifade etmektedir. |
|
Kutupların az da olsa karşıtını içerisinde barındırması imkansız olmaktadır. |
Kutuplar az da olsa karşıtını mutlaka içerisinde barındırır ve karşıtlar birbirine dönüşebilen yapıdadır.
18.Soru
I. Altına düşmek istenmeyen alt sınırı belirleyen tek taraflı hedef (bu sınırın üstüne çıkmak başarıdır).
II. Üstüne çıkmak istenmeyen üst sınırı belirleyen tek taraflı hedef (bu sınırın altına düşmek başarıdır).
III. Her iki tarafta da bir kayıp istenmediğinde belirlenen spesifik hedef (amaç fonksiyonu bu hedefin altında veya üstünde değer alırsa bu bir başarısızlıktır). Bu hedef tam olarak sağlanmalıdır.
Yukarıdakilerden hangileri hedef programlamada kullanılan hedef türleridir.
|
I, II ve III |
|
I ve II |
|
I ve III |
|
II ve III |
|
Sadece III |
Hedef kısıtları, belirlenen hedef türüne bağlı olarak oluşturulur. Hedef programlamada üç tür hedef vardır. Bu hedefler;
- Altına düşmek istenmeyen alt sınırı belirleyen tek taraflı hedef (bu sınırı aşmak başarıdır).
- Üstüne çıkmak istenmeyen üst sınırı belirleyen tek taraflı hedef (bu sınırın altına düşmek başarıdır).
- Her iki tarafta da bir kayıp istenmediğinde belirlenen spesifik hedef (amaç fonksiyonu bu hedefin altında veya üstünde değer alırsa bu bir başarısızlıktır). Bu hedef tam olarak sağlanmalıdır.
Bu nedenle doğru yanıt a) seçeneğidir.
19.Soru
3 denklem (m=3) ve 6 değişkenin (n=6) olduğu bir sistemde, sistemdeki kaç değişken için çözüm bulunabilir?
|
2 |
|
3 |
|
4 |
|
5 |
|
6 |
3 denklem (m=3) ve 6 değişkenin (n=6) olduğu bir sistemde, her seferinde 3 (n-m=3) değişkene sıfır değerini vererek, denklem sayısı (m=3) kadar değişken için çözüm bulunabilir. Doğru cevap B'dir.
-
- 1.SORU ÇÖZÜLMEDİ
- 2.SORU ÇÖZÜLMEDİ
- 3.SORU ÇÖZÜLMEDİ
- 4.SORU ÇÖZÜLMEDİ
- 5.SORU ÇÖZÜLMEDİ
- 6.SORU ÇÖZÜLMEDİ
- 7.SORU ÇÖZÜLMEDİ
- 8.SORU ÇÖZÜLMEDİ
- 9.SORU ÇÖZÜLMEDİ
- 10.SORU ÇÖZÜLMEDİ
- 11.SORU ÇÖZÜLMEDİ
- 12.SORU ÇÖZÜLMEDİ
- 13.SORU ÇÖZÜLMEDİ
- 14.SORU ÇÖZÜLMEDİ
- 15.SORU ÇÖZÜLMEDİ
- 16.SORU ÇÖZÜLMEDİ
- 17.SORU ÇÖZÜLMEDİ
- 18.SORU ÇÖZÜLMEDİ
- 19.SORU ÇÖZÜLMEDİ