aof.sorular.net
Yöneylem Araştırması
Yöneylem Araştırması Deneme Sınavı
Yöneylem Araştırması Deneme Sınavı Sorusu #592556
Yöneylem Araştırması Deneme Sınavı Sorusu #592556
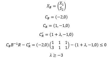
Bir enküçükleme problemi için geliştirilen matematiksel model ve karşı gelen eniyi çözüm tablosu verilmiştir.

X2’nin amaç fonksiyonundaki katkısında olabilecek λ kadar değişimin hangi aralığı için eldeki çözüm korunur?
|
|
|
|
|
|
|
|
|
|
Yanıt Açıklaması:
Yorumlar
- 0 Yorum